Ultimele actualizari :
18/03/2026
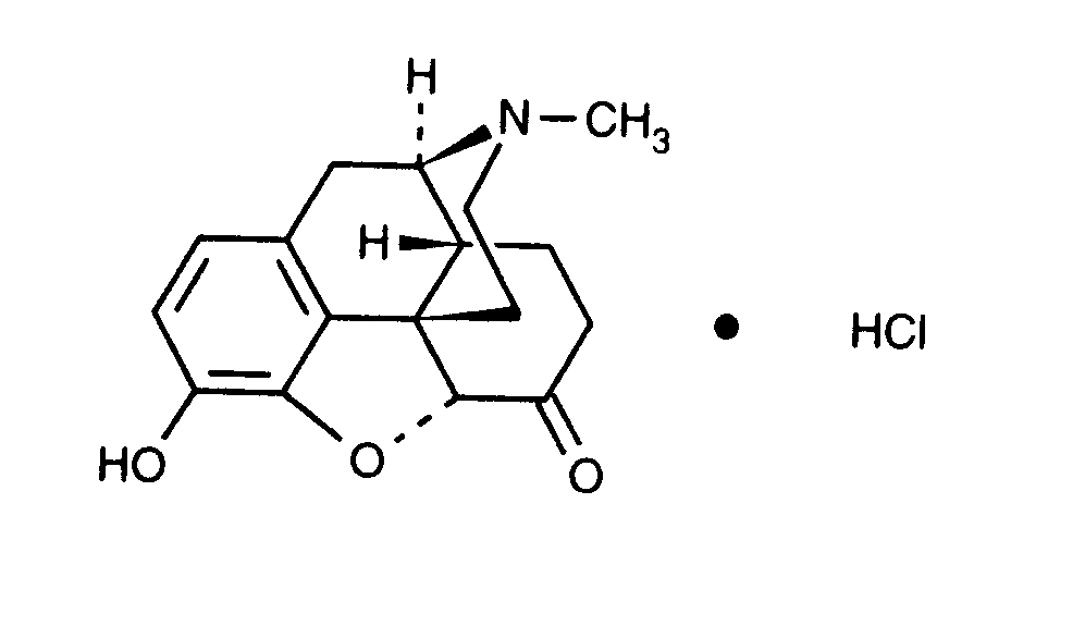
Antialgic   Hydromorphone hydrochloride  
Injectabil
Stabilitatea in solutie Stabilitatea in amestec Factorii care influenteaza stabilitatea Compatibilitate Microunde Bibliografie pdf
   Formula chimica  

Denumirea comerciala   Denumirea comerciala     

Trade names are indicative and excipients composition can be different depending on the country and manufacturers

Dilaudid Canada, SUA
Hydal Austria
Palladon Danemarca, Elvetia
Palladone Marea Britanie
Stabilitatea in solutie   Injectabil   Stabilitatea in solutie : Hydromorphone hydrochloride     
Continut Solvent Concentratie Temperatura Conservare Durata stabilității Bibiografie
sticla Neprecizat 50 mg/ml 37°C Ferit de lumina
90 Ziua
2305

clorura de polivinil clorura de sodiu 0,9% ? mg/ml 25°C Neprecizat
7 Ziua
5073
Documentele de stabilitate ale producătorului

clorura de polivinil clorura de sodiu 0,9% ? mg/ml 37°C Neprecizat
7 Ziua
5073
Documentele de stabilitate ale producătorului

clorura de polivinil clorura de sodiu 0,9% ? mg/ml 4°C Neprecizat
7 Ziua
5073
Documentele de stabilitate ale producătorului

clorura de polivinil clorura de sodiu 0,9% 0,2 & 10 mg/ml 23°C Neprecizat
90 Ziua
4230
Nivel de evidență A

clorura de polivinil clorura de sodiu 0,9% 1 & 5 mg/ml 23°C Neprecizat
42 Ziua
120
Nivel de evidență C

clorura de polivinil clorura de sodiu 0,9% 1 & 5 mg/ml 4°C Ferit de lumina
42 Ziua
120
Nivel de evidență C

clorura de polivinil clorura de sodiu 0,9% 20 mg/ml 22°C Neprecizat
7 Ziua
4664
Nivel de evidență D

clorura de polivinil clorura de sodiu 0,9% 20 mg/ml 37°C Neprecizat
7 Ziua
4664
Nivel de evidență D

clorura de polivinil Glucoza 5% ? mg/ml 25°C Neprecizat
7 Ziua
5073
Documentele de stabilitate ale producătorului

clorura de polivinil Glucoza 5% ? mg/ml 37°C Neprecizat
7 Ziua
5073
Documentele de stabilitate ale producătorului

clorura de polivinil Glucoza 5% ? mg/ml 4°C Neprecizat
7 Ziua
5073
Documentele de stabilitate ale producătorului

clorura de polivinil Glucoza 5% 1 & 5 mg/ml 23°C Neprecizat
42 Ziua
120
Nivel de evidență C

clorura de polivinil Glucoza 5% 1 & 5 mg/ml 4°C Ferit de lumina
42 Ziua
120
Nivel de evidență C

polietilen clorura de sodiu 0,9% ? mg/ml 25°C Neprecizat
7 Ziua
5073
Documentele de stabilitate ale producătorului

polietilen clorura de sodiu 0,9% ? mg/ml 37°C Neprecizat
7 Ziua
5073
Documentele de stabilitate ale producătorului

polietilen clorura de sodiu 0,9% ? mg/ml 4°C Neprecizat
7 Ziua
5073
Documentele de stabilitate ale producătorului

polietilen Glucoza 5% ? mg/ml 25°C Neprecizat
7 Ziua
5073
Documentele de stabilitate ale producătorului

polietilen Glucoza 5% ? mg/ml 37°C Neprecizat
7 Ziua
5073
Documentele de stabilitate ale producătorului

polietilen Glucoza 5% ? mg/ml 4°C Neprecizat
7 Ziua
5073
Documentele de stabilitate ale producătorului

poliolefine clorura de sodiu 0,9% 0,2 & 10 mg/ml 23°C Neprecizat
90 Ziua
4230
Nivel de evidență A

etilen vinil acetat clorura de sodiu 0,9% ? mg/ml 25°C Neprecizat
7 Ziua
5073
Documentele de stabilitate ale producătorului

etilen vinil acetat clorura de sodiu 0,9% ? mg/ml 37°C Neprecizat
7 Ziua
5073
Documentele de stabilitate ale producătorului

etilen vinil acetat clorura de sodiu 0,9% ? mg/ml 4°C Neprecizat
7 Ziua
5073
Documentele de stabilitate ale producătorului

etilen vinil acetat Glucoza 5% ? mg/ml 25°C Neprecizat
7 Ziua
5073
Documentele de stabilitate ale producătorului

etilen vinil acetat Glucoza 5% ? mg/ml 37°C Neprecizat
7 Ziua
5073
Documentele de stabilitate ale producătorului

etilen vinil acetat Glucoza 5% ? mg/ml 4°C Neprecizat
7 Ziua
5073
Documentele de stabilitate ale producătorului

seringă polipropileno clorura de sodiu 0,9% ? mg/ml 25°C Neprecizat
7 Ziua
5073
Documentele de stabilitate ale producătorului

seringă polipropileno clorura de sodiu 0,9% ? mg/ml 37°C Neprecizat
7 Ziua
5073
Documentele de stabilitate ale producătorului

seringă polipropileno clorura de sodiu 0,9% ? mg/ml 4°C Neprecizat
7 Ziua
5073
Documentele de stabilitate ale producătorului

seringă polipropileno clorura de sodiu 0,9% 0,1 mg/ml 25°C Neprecizat
100 Ziua
4303
Nivel de evidență A

seringă polipropileno clorura de sodiu 0,9% 0,1 mg/ml 30°C Neprecizat
30 Ziua
5
Nivel de evidență B

seringă polipropileno clorura de sodiu 0,9% 1,5 & 80 mg/ml 23°C Lumina
60 Ziua
1706
Nivel de evidență A+

seringă polipropileno clorura de sodiu 0,9% 1,5 & 80 mg/ml 37°C Ferit de lumina
48 Ora
1706
Nivel de evidență A+

seringă polipropileno clorura de sodiu 0,9% 1,5 & 80 mg/ml 4°C Ferit de lumina
60 Ziua
1706
Nivel de evidență A+

seringă polipropileno Glucoza 5% ? mg/ml 25°C Neprecizat
7 Ziua
5073
Documentele de stabilitate ale producătorului

seringă polipropileno Glucoza 5% ? mg/ml 37°C Neprecizat
7 Ziua
5073
Documentele de stabilitate ale producătorului

seringă polipropileno Glucoza 5% ? mg/ml 4°C Neprecizat
7 Ziua
5073
Documentele de stabilitate ale producătorului

seringă polipropileno fara 10 mg/ml 30°C Neprecizat
30 Ziua
5
Nivel de evidență B

neprecizat clorura de sodiu 0,9% 0,2 mg/ml 20°C In prezenta sau absenta luminii
112 Ziua
2659
Nivel de evidență A

neprecizat clorura de sodiu 0,9% 0,2 mg/ml 35°C Ferit de lumina
112 Ziua
2659
Nivel de evidență A

neprecizat clorura de sodiu 0,9% 0,2 mg/ml 5°C Ferit de lumina
112 Ziua
2659
Nivel de evidență A

neprecizat fara 10 mg/ml 37°C Ferit de lumina
120 Ziua
1867
Nivel de evidență D


  Mentions Légales