viimane versioon :
27/04/2026
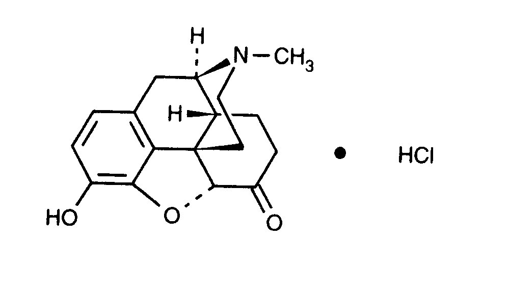
analgeetikum   Hydromorphone hydrochloride  
Süsteravim
Stabiilsus lahustes Stabiilsust mõjutavad tegurid stabiilsust mõjutavad faktorid Sobimatus Manustamis viis Viited pdf
   keemiline struktuur  

Kaubanduslikud nimed erinevates maades   Kaubanduslikud nimed erinevates maades     

Preparaatide nimed on näitlikud ja abianete sisaldus võib erineda sõltuvalt riigist ja laborist

Dilaudid Ameerika ühendriigid, Kanada
Hydal Austria
Palladon Sveits, Taani
Palladone Suurbritannia
Stabiilsus lahustes   Süsteravim   Stabiilsus lahustes : Hydromorphone hydrochloride     
konteiner lahusti kontsentratsioon temperatuur ladustamine Stabiilsuse kestus Viited
klaas pole täpsustatud 50 mg/ml 37°C kaitsta valguse eest
90 päev
2305

polüvinüülkloriid naatriumkloriid 0.9% ? mg/ml 25°C pole täpsustatud
7 päev
5073
Tootja info stabiilsuse kohta

polüvinüülkloriid naatriumkloriid 0.9% ? mg/ml 37°C pole täpsustatud
7 päev
5073
Tootja info stabiilsuse kohta

polüvinüülkloriid naatriumkloriid 0.9% ? mg/ml 4°C pole täpsustatud
7 päev
5073
Tootja info stabiilsuse kohta

polüvinüülkloriid naatriumkloriid 0.9% 0,2 & 10 mg/ml 23°C pole täpsustatud
90 päev
4230
Tõenduspõhisuse tase A

polüvinüülkloriid naatriumkloriid 0.9% 1 & 5 mg/ml 23°C pole täpsustatud
42 päev
120
Tõenduspõhisuse tase C

polüvinüülkloriid naatriumkloriid 0.9% 1 & 5 mg/ml 4°C kaitsta valguse eest
42 päev
120
Tõenduspõhisuse tase C

polüvinüülkloriid naatriumkloriid 0.9% 20 mg/ml 22°C pole täpsustatud
7 päev
4664
Tõenduspõhisuse tase D

polüvinüülkloriid naatriumkloriid 0.9% 20 mg/ml 37°C pole täpsustatud
7 päev
4664
Tõenduspõhisuse tase D

polüvinüülkloriid glükoos 5% ? mg/ml 25°C pole täpsustatud
7 päev
5073
Tootja info stabiilsuse kohta

polüvinüülkloriid glükoos 5% ? mg/ml 37°C pole täpsustatud
7 päev
5073
Tootja info stabiilsuse kohta

polüvinüülkloriid glükoos 5% ? mg/ml 4°C pole täpsustatud
7 päev
5073
Tootja info stabiilsuse kohta

polüvinüülkloriid glükoos 5% 1 & 5 mg/ml 23°C pole täpsustatud
42 päev
120
Tõenduspõhisuse tase C

polüvinüülkloriid glükoos 5% 1 & 5 mg/ml 4°C kaitsta valguse eest
42 päev
120
Tõenduspõhisuse tase C

polüetüleen naatriumkloriid 0.9% ? mg/ml 25°C pole täpsustatud
7 päev
5073
Tootja info stabiilsuse kohta

polüetüleen naatriumkloriid 0.9% ? mg/ml 37°C pole täpsustatud
7 päev
5073
Tootja info stabiilsuse kohta

polüetüleen naatriumkloriid 0.9% ? mg/ml 4°C pole täpsustatud
7 päev
5073
Tootja info stabiilsuse kohta

polüetüleen glükoos 5% ? mg/ml 25°C pole täpsustatud
7 päev
5073
Tootja info stabiilsuse kohta

polüetüleen glükoos 5% ? mg/ml 37°C pole täpsustatud
7 päev
5073
Tootja info stabiilsuse kohta

polüetüleen glükoos 5% ? mg/ml 4°C pole täpsustatud
7 päev
5073
Tootja info stabiilsuse kohta

polüolefiin naatriumkloriid 0.9% 0,2 & 10 mg/ml 23°C pole täpsustatud
90 päev
4230
Tõenduspõhisuse tase A

etüleen vinüülatsetaat naatriumkloriid 0.9% ? mg/ml 25°C pole täpsustatud
7 päev
5073
Tootja info stabiilsuse kohta

etüleen vinüülatsetaat naatriumkloriid 0.9% ? mg/ml 37°C pole täpsustatud
7 päev
5073
Tootja info stabiilsuse kohta

etüleen vinüülatsetaat naatriumkloriid 0.9% ? mg/ml 4°C pole täpsustatud
7 päev
5073
Tootja info stabiilsuse kohta

etüleen vinüülatsetaat glükoos 5% ? mg/ml 25°C pole täpsustatud
7 päev
5073
Tootja info stabiilsuse kohta

etüleen vinüülatsetaat glükoos 5% ? mg/ml 37°C pole täpsustatud
7 päev
5073
Tootja info stabiilsuse kohta

etüleen vinüülatsetaat glükoos 5% ? mg/ml 4°C pole täpsustatud
7 päev
5073
Tootja info stabiilsuse kohta

süstal  polüpropüleenist naatriumkloriid 0.9% ? mg/ml 25°C pole täpsustatud
7 päev
5073
Tootja info stabiilsuse kohta

süstal  polüpropüleenist naatriumkloriid 0.9% ? mg/ml 37°C pole täpsustatud
7 päev
5073
Tootja info stabiilsuse kohta

süstal  polüpropüleenist naatriumkloriid 0.9% ? mg/ml 4°C pole täpsustatud
7 päev
5073
Tootja info stabiilsuse kohta

süstal  polüpropüleenist naatriumkloriid 0.9% 0,1 mg/ml 25°C pole täpsustatud
100 päev
4303
Tõenduspõhisuse tase A

süstal  polüpropüleenist naatriumkloriid 0.9% 0,1 mg/ml 30°C pole täpsustatud
30 päev
5
Tõenduspõhisuse tase B

süstal  polüpropüleenist naatriumkloriid 0.9% 1,5 & 80 mg/ml 23°C valgus
60 päev
1706
Tõenduspõhisuse tase A+

süstal  polüpropüleenist naatriumkloriid 0.9% 1,5 & 80 mg/ml 37°C kaitsta valguse eest
48 Tund
1706
Tõenduspõhisuse tase A+

süstal  polüpropüleenist naatriumkloriid 0.9% 1,5 & 80 mg/ml 4°C kaitsta valguse eest
60 päev
1706
Tõenduspõhisuse tase A+

süstal  polüpropüleenist glükoos 5% ? mg/ml 25°C pole täpsustatud
7 päev
5073
Tootja info stabiilsuse kohta

süstal  polüpropüleenist glükoos 5% ? mg/ml 37°C pole täpsustatud
7 päev
5073
Tootja info stabiilsuse kohta

süstal  polüpropüleenist glükoos 5% ? mg/ml 4°C pole täpsustatud
7 päev
5073
Tootja info stabiilsuse kohta

süstal  polüpropüleenist mitte ükski 10 mg/ml 30°C pole täpsustatud
30 päev
5
Tõenduspõhisuse tase B

pole täpsustatud naatriumkloriid 0.9% 0,2 mg/ml 20°C valgusega või ilma valguseta
112 päev
2659
Tõenduspõhisuse tase A

pole täpsustatud naatriumkloriid 0.9% 0,2 mg/ml 35°C kaitsta valguse eest
112 päev
2659
Tõenduspõhisuse tase A

pole täpsustatud naatriumkloriid 0.9% 0,2 mg/ml 5°C kaitsta valguse eest
112 päev
2659
Tõenduspõhisuse tase A

pole täpsustatud mitte ükski 10 mg/ml 37°C kaitsta valguse eest
120 päev
1867
Tõenduspõhisuse tase D


  Mentions Légales