Poslední aktualizace :
27/04/2026
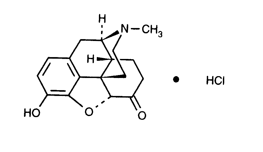
Analgetikas   Hydromorphone hydrochloride  
Įpurškimas
Tirpalų stabilumas Mišinių stabilumas Stabilumą lemiantys veiksniai Suderinamumas Leidimo būdai Bibliografija pdf
   Cheminė sandara  

Prekinis pavadinimas   Prekinis pavadinimas     

Trade names are indicative and excipients composition can be different depending on the country and manufacturers

Dilaudid Jungtinės Amerikos Valstijos, Kanada
Hydal Austrija
Palladon Danija, Šveicarija
Palladone Didžioji Britanija
Tirpalų stabilumas   Įpurškimas   Tirpalų stabilumas : Hydromorphone hydrochloride     
Pakuotė Tirpiklis Koncentracija Temperatūra Laikymas Stabilumo trukmė Nuorodos
Stiklas Nenurodyta 50 mg/ml 37°C Apsaugotas nuo šviesos
90 Diena
2305

Polivinilchloridas Natrio chloridas 0,9% ? mg/ml 25°C Nenurodyta
7 Diena
5073
Gamintojo stabilumo duomenys

Polivinilchloridas Natrio chloridas 0,9% ? mg/ml 37°C Nenurodyta
7 Diena
5073
Gamintojo stabilumo duomenys

Polivinilchloridas Natrio chloridas 0,9% ? mg/ml 4°C Nenurodyta
7 Diena
5073
Gamintojo stabilumo duomenys

Polivinilchloridas Natrio chloridas 0,9% 0,2 & 10 mg/ml 23°C Nenurodyta
90 Diena
4230
Bandymo lygis A

Polivinilchloridas Natrio chloridas 0,9% 1 & 5 mg/ml 23°C Nenurodyta
42 Diena
120
Bandymo lygis C

Polivinilchloridas Natrio chloridas 0,9% 1 & 5 mg/ml 4°C Apsaugotas nuo šviesos
42 Diena
120
Bandymo lygis C

Polivinilchloridas Natrio chloridas 0,9% 20 mg/ml 22°C Nenurodyta
7 Diena
4664
Bandymo lygis D

Polivinilchloridas Natrio chloridas 0,9% 20 mg/ml 37°C Nenurodyta
7 Diena
4664
Bandymo lygis D

Polivinilchloridas Gliukozė 5% ? mg/ml 25°C Nenurodyta
7 Diena
5073
Gamintojo stabilumo duomenys

Polivinilchloridas Gliukozė 5% ? mg/ml 37°C Nenurodyta
7 Diena
5073
Gamintojo stabilumo duomenys

Polivinilchloridas Gliukozė 5% ? mg/ml 4°C Nenurodyta
7 Diena
5073
Gamintojo stabilumo duomenys

Polivinilchloridas Gliukozė 5% 1 & 5 mg/ml 23°C Nenurodyta
42 Diena
120
Bandymo lygis C

Polivinilchloridas Gliukozė 5% 1 & 5 mg/ml 4°C Apsaugotas nuo šviesos
42 Diena
120
Bandymo lygis C

Polietilenas Natrio chloridas 0,9% ? mg/ml 25°C Nenurodyta
7 Diena
5073
Gamintojo stabilumo duomenys

Polietilenas Natrio chloridas 0,9% ? mg/ml 37°C Nenurodyta
7 Diena
5073
Gamintojo stabilumo duomenys

Polietilenas Natrio chloridas 0,9% ? mg/ml 4°C Nenurodyta
7 Diena
5073
Gamintojo stabilumo duomenys

Polietilenas Gliukozė 5% ? mg/ml 25°C Nenurodyta
7 Diena
5073
Gamintojo stabilumo duomenys

Polietilenas Gliukozė 5% ? mg/ml 37°C Nenurodyta
7 Diena
5073
Gamintojo stabilumo duomenys

Polietilenas Gliukozė 5% ? mg/ml 4°C Nenurodyta
7 Diena
5073
Gamintojo stabilumo duomenys

Poliolefinas Natrio chloridas 0,9% 0,2 & 10 mg/ml 23°C Nenurodyta
90 Diena
4230
Bandymo lygis A

Etileno vinilacetatas Natrio chloridas 0,9% ? mg/ml 25°C Nenurodyta
7 Diena
5073
Gamintojo stabilumo duomenys

Etileno vinilacetatas Natrio chloridas 0,9% ? mg/ml 37°C Nenurodyta
7 Diena
5073
Gamintojo stabilumo duomenys

Etileno vinilacetatas Natrio chloridas 0,9% ? mg/ml 4°C Nenurodyta
7 Diena
5073
Gamintojo stabilumo duomenys

Etileno vinilacetatas Gliukozė 5% ? mg/ml 25°C Nenurodyta
7 Diena
5073
Gamintojo stabilumo duomenys

Etileno vinilacetatas Gliukozė 5% ? mg/ml 37°C Nenurodyta
7 Diena
5073
Gamintojo stabilumo duomenys

Etileno vinilacetatas Gliukozė 5% ? mg/ml 4°C Nenurodyta
7 Diena
5073
Gamintojo stabilumo duomenys

Švirkštas polipropileno Natrio chloridas 0,9% ? mg/ml 25°C Nenurodyta
7 Diena
5073
Gamintojo stabilumo duomenys

Švirkštas polipropileno Natrio chloridas 0,9% ? mg/ml 37°C Nenurodyta
7 Diena
5073
Gamintojo stabilumo duomenys

Švirkštas polipropileno Natrio chloridas 0,9% ? mg/ml 4°C Nenurodyta
7 Diena
5073
Gamintojo stabilumo duomenys

Švirkštas polipropileno Natrio chloridas 0,9% 0,1 mg/ml 25°C Nenurodyta
100 Diena
4303
Bandymo lygis A

Švirkštas polipropileno Natrio chloridas 0,9% 0,1 mg/ml 30°C Nenurodyta
30 Diena
5
Bandymo lygis B

Švirkštas polipropileno Natrio chloridas 0,9% 1,5 & 80 mg/ml 23°C Šviesa
60 Diena
1706
Bandymo lygis A+

Švirkštas polipropileno Natrio chloridas 0,9% 1,5 & 80 mg/ml 37°C Apsaugotas nuo šviesos
48 Valanda
1706
Bandymo lygis A+

Švirkštas polipropileno Natrio chloridas 0,9% 1,5 & 80 mg/ml 4°C Apsaugotas nuo šviesos
60 Diena
1706
Bandymo lygis A+

Švirkštas polipropileno Gliukozė 5% ? mg/ml 25°C Nenurodyta
7 Diena
5073
Gamintojo stabilumo duomenys

Švirkštas polipropileno Gliukozė 5% ? mg/ml 37°C Nenurodyta
7 Diena
5073
Gamintojo stabilumo duomenys

Švirkštas polipropileno Gliukozė 5% ? mg/ml 4°C Nenurodyta
7 Diena
5073
Gamintojo stabilumo duomenys

Švirkštas polipropileno Nėra 10 mg/ml 30°C Nenurodyta
30 Diena
5
Bandymo lygis B

Nenurodyta Natrio chloridas 0,9% 0,2 mg/ml 20°C Ir šviesoje, ir tamsoje
112 Diena
2659
Bandymo lygis A

Nenurodyta Natrio chloridas 0,9% 0,2 mg/ml 35°C Apsaugotas nuo šviesos
112 Diena
2659
Bandymo lygis A

Nenurodyta Natrio chloridas 0,9% 0,2 mg/ml 5°C Apsaugotas nuo šviesos
112 Diena
2659
Bandymo lygis A

Nenurodyta Nėra 10 mg/ml 37°C Apsaugotas nuo šviesos
120 Diena
1867
Bandymo lygis D


  Mentions Légales