Son güncelleme :
27/04/2026
Analjezik   Hydromorphone hydrochloride  
Enjeksiyon
Çözeltilerin stabilitesi Karışımlardaki stabilitesi Stabiliteyi etkileyen faktörler Uyumluluk Uygulama yöntemi Kaynaklar pdf
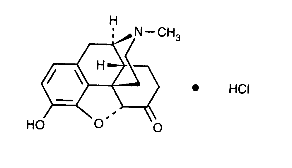
   Kimyasal yapı   

Ticari isim   Ticari isim     

Trade names are indicative and excipients composition can be different depending on the country and manufacturers

Dilaudid Amerika Birleşik Devletleri, Kanada
Hydal Avusturya
Palladon Danimarka, İsviçre
Palladone Büyük Britanya
Çözeltilerin stabilitesi   Enjeksiyon    Çözeltilerin stabilitesi : Hydromorphone hydrochloride     
Saklama kabı Çözücü Konsantrasyon Isı Saklama    Stabilite süresi Kaynaklar
Cam Belirtilmemiş 50 mg/ml 37°C Işıktan koruyunuz
90 Gün
2305

Polivinil klorür Sodyum klorür % 0,9 ? mg/ml 25°C Belirtilmemiş
7 Gün
5073
Üreticinin stabilite verileri

Polivinil klorür Sodyum klorür % 0,9 ? mg/ml 37°C Belirtilmemiş
7 Gün
5073
Üreticinin stabilite verileri

Polivinil klorür Sodyum klorür % 0,9 ? mg/ml 4°C Belirtilmemiş
7 Gün
5073
Üreticinin stabilite verileri

Polivinil klorür Sodyum klorür % 0,9 0,2 & 10 mg/ml 23°C Belirtilmemiş
90 Gün
4230
Kanıt düzeyi A

Polivinil klorür Sodyum klorür % 0,9 1 & 5 mg/ml 23°C Belirtilmemiş
42 Gün
120
Kanıt düzeyi C

Polivinil klorür Sodyum klorür % 0,9 1 & 5 mg/ml 4°C Işıktan koruyunuz
42 Gün
120
Kanıt düzeyi C

Polivinil klorür Sodyum klorür % 0,9 20 mg/ml 22°C Belirtilmemiş
7 Gün
4664
Kanıt düzeyi D

Polivinil klorür Sodyum klorür % 0,9 20 mg/ml 37°C Belirtilmemiş
7 Gün
4664
Kanıt düzeyi D

Polivinil klorür Glukoz %5 ? mg/ml 25°C Belirtilmemiş
7 Gün
5073
Üreticinin stabilite verileri

Polivinil klorür Glukoz %5 ? mg/ml 37°C Belirtilmemiş
7 Gün
5073
Üreticinin stabilite verileri

Polivinil klorür Glukoz %5 ? mg/ml 4°C Belirtilmemiş
7 Gün
5073
Üreticinin stabilite verileri

Polivinil klorür Glukoz %5 1 & 5 mg/ml 23°C Belirtilmemiş
42 Gün
120
Kanıt düzeyi C

Polivinil klorür Glukoz %5 1 & 5 mg/ml 4°C Işıktan koruyunuz
42 Gün
120
Kanıt düzeyi C

Polietilen Sodyum klorür % 0,9 ? mg/ml 25°C Belirtilmemiş
7 Gün
5073
Üreticinin stabilite verileri

Polietilen Sodyum klorür % 0,9 ? mg/ml 37°C Belirtilmemiş
7 Gün
5073
Üreticinin stabilite verileri

Polietilen Sodyum klorür % 0,9 ? mg/ml 4°C Belirtilmemiş
7 Gün
5073
Üreticinin stabilite verileri

Polietilen Glukoz %5 ? mg/ml 25°C Belirtilmemiş
7 Gün
5073
Üreticinin stabilite verileri

Polietilen Glukoz %5 ? mg/ml 37°C Belirtilmemiş
7 Gün
5073
Üreticinin stabilite verileri

Polietilen Glukoz %5 ? mg/ml 4°C Belirtilmemiş
7 Gün
5073
Üreticinin stabilite verileri

Poliolefin Sodyum klorür % 0,9 0,2 & 10 mg/ml 23°C Belirtilmemiş
90 Gün
4230
Kanıt düzeyi A

Etilen vinil asetat (EVA) Sodyum klorür % 0,9 ? mg/ml 25°C Belirtilmemiş
7 Gün
5073
Üreticinin stabilite verileri

Etilen vinil asetat (EVA) Sodyum klorür % 0,9 ? mg/ml 37°C Belirtilmemiş
7 Gün
5073
Üreticinin stabilite verileri

Etilen vinil asetat (EVA) Sodyum klorür % 0,9 ? mg/ml 4°C Belirtilmemiş
7 Gün
5073
Üreticinin stabilite verileri

Etilen vinil asetat (EVA) Glukoz %5 ? mg/ml 25°C Belirtilmemiş
7 Gün
5073
Üreticinin stabilite verileri

Etilen vinil asetat (EVA) Glukoz %5 ? mg/ml 37°C Belirtilmemiş
7 Gün
5073
Üreticinin stabilite verileri

Etilen vinil asetat (EVA) Glukoz %5 ? mg/ml 4°C Belirtilmemiş
7 Gün
5073
Üreticinin stabilite verileri

Şırınga polipropilen Sodyum klorür % 0,9 ? mg/ml 25°C Belirtilmemiş
7 Gün
5073
Üreticinin stabilite verileri

Şırınga polipropilen Sodyum klorür % 0,9 ? mg/ml 37°C Belirtilmemiş
7 Gün
5073
Üreticinin stabilite verileri

Şırınga polipropilen Sodyum klorür % 0,9 ? mg/ml 4°C Belirtilmemiş
7 Gün
5073
Üreticinin stabilite verileri

Şırınga polipropilen Sodyum klorür % 0,9 0,1 mg/ml 25°C Belirtilmemiş
100 Gün
4303
Kanıt düzeyi A

Şırınga polipropilen Sodyum klorür % 0,9 0,1 mg/ml 30°C Belirtilmemiş
30 Gün
5
Kanıt düzeyi B

Şırınga polipropilen Sodyum klorür % 0,9 1,5 & 80 mg/ml 23°C I_ık
60 Gün
1706
Kanıt düzeyi A+

Şırınga polipropilen Sodyum klorür % 0,9 1,5 & 80 mg/ml 37°C Işıktan koruyunuz
48 Zaman
1706
Kanıt düzeyi A+

Şırınga polipropilen Sodyum klorür % 0,9 1,5 & 80 mg/ml 4°C Işıktan koruyunuz
60 Gün
1706
Kanıt düzeyi A+

Şırınga polipropilen Glukoz %5 ? mg/ml 25°C Belirtilmemiş
7 Gün
5073
Üreticinin stabilite verileri

Şırınga polipropilen Glukoz %5 ? mg/ml 37°C Belirtilmemiş
7 Gün
5073
Üreticinin stabilite verileri

Şırınga polipropilen Glukoz %5 ? mg/ml 4°C Belirtilmemiş
7 Gün
5073
Üreticinin stabilite verileri

Şırınga polipropilen Yok 10 mg/ml 30°C Belirtilmemiş
30 Gün
5
Kanıt düzeyi B

Belirtilmemiş Sodyum klorür % 0,9 0,2 mg/ml 20°C Işıklı veya ışıksız
112 Gün
2659
Kanıt düzeyi A

Belirtilmemiş Sodyum klorür % 0,9 0,2 mg/ml 35°C Işıktan koruyunuz
112 Gün
2659
Kanıt düzeyi A

Belirtilmemiş Sodyum klorür % 0,9 0,2 mg/ml 5°C Işıktan koruyunuz
112 Gün
2659
Kanıt düzeyi A

Belirtilmemiş Yok 10 mg/ml 37°C Işıktan koruyunuz
120 Gün
1867
Kanıt düzeyi D


  Mentions Légales