Seneste opdatering :
27/01/2026
Analgetisk   Hydromorphone hydrochloride  
Injektion
Stabilitet i (vandige) opløsninger Stabilitet i blandinger Faktorer der påvirker stabiliteten Kompatibilitet Administrationsvej Bibliografi pdf
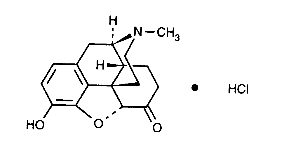
   Kemisk struktur  

Handelsnavn   Handelsnavn     

Handel navne er vejledende og hjælpestoffer sammensætning kan være forskellig afhængigt af landet og laboratorier

Dilaudid Canada, USA
Hydal Østrig
Palladon Danmark, Schweiz
Palladone Storbritanien
Stabilitet i (vandige) opløsninger   Injektion   Stabilitet i (vandige) opløsninger : Hydromorphone hydrochloride     
Beholder Opløsningsmiddel Koncentration Temperatur Konservering Varighed af stabilitet Bibliografi
Glas Ikke nærmere angivet 50 mg/ml 37°C Beskyt mod lys
90 Dag
2305

Polyvinylklorid 0,9 % Natriumklorid ? mg/ml 25°C Ikke nærmere angivet
7 Dag
5073
Producentens stabilitet data

Polyvinylklorid 0,9 % Natriumklorid ? mg/ml 37°C Ikke nærmere angivet
7 Dag
5073
Producentens stabilitet data

Polyvinylklorid 0,9 % Natriumklorid ? mg/ml 4°C Ikke nærmere angivet
7 Dag
5073
Producentens stabilitet data

Polyvinylklorid 0,9 % Natriumklorid 0,2 & 10 mg/ml 23°C Ikke nærmere angivet
90 Dag
4230
Level af bevismateriale A

Polyvinylklorid 0,9 % Natriumklorid 1 & 5 mg/ml 23°C Ikke nærmere angivet
42 Dag
120
Level af bevismateriale C

Polyvinylklorid 0,9 % Natriumklorid 1 & 5 mg/ml 4°C Beskyt mod lys
42 Dag
120
Level af bevismateriale C

Polyvinylklorid 0,9 % Natriumklorid 20 mg/ml 22°C Ikke nærmere angivet
7 Dag
4664
Level af bevismateriale D

Polyvinylklorid 0,9 % Natriumklorid 20 mg/ml 37°C Ikke nærmere angivet
7 Dag
4664
Level af bevismateriale D

Polyvinylklorid 5 % Glukose ? mg/ml 25°C Ikke nærmere angivet
7 Dag
5073
Producentens stabilitet data

Polyvinylklorid 5 % Glukose ? mg/ml 37°C Ikke nærmere angivet
7 Dag
5073
Producentens stabilitet data

Polyvinylklorid 5 % Glukose ? mg/ml 4°C Ikke nærmere angivet
7 Dag
5073
Producentens stabilitet data

Polyvinylklorid 5 % Glukose 1 & 5 mg/ml 23°C Ikke nærmere angivet
42 Dag
120
Level af bevismateriale C

Polyvinylklorid 5 % Glukose 1 & 5 mg/ml 4°C Beskyt mod lys
42 Dag
120
Level af bevismateriale C

Polyethylen 0,9 % Natriumklorid ? mg/ml 25°C Ikke nærmere angivet
7 Dag
5073
Producentens stabilitet data

Polyethylen 0,9 % Natriumklorid ? mg/ml 37°C Ikke nærmere angivet
7 Dag
5073
Producentens stabilitet data

Polyethylen 0,9 % Natriumklorid ? mg/ml 4°C Ikke nærmere angivet
7 Dag
5073
Producentens stabilitet data

Polyethylen 5 % Glukose ? mg/ml 25°C Ikke nærmere angivet
7 Dag
5073
Producentens stabilitet data

Polyethylen 5 % Glukose ? mg/ml 37°C Ikke nærmere angivet
7 Dag
5073
Producentens stabilitet data

Polyethylen 5 % Glukose ? mg/ml 4°C Ikke nærmere angivet
7 Dag
5073
Producentens stabilitet data

Polyolefin 0,9 % Natriumklorid 0,2 & 10 mg/ml 23°C Ikke nærmere angivet
90 Dag
4230
Level af bevismateriale A

Ethylen vinyl acetat 0,9 % Natriumklorid ? mg/ml 25°C Ikke nærmere angivet
7 Dag
5073
Producentens stabilitet data

Ethylen vinyl acetat 0,9 % Natriumklorid ? mg/ml 37°C Ikke nærmere angivet
7 Dag
5073
Producentens stabilitet data

Ethylen vinyl acetat 0,9 % Natriumklorid ? mg/ml 4°C Ikke nærmere angivet
7 Dag
5073
Producentens stabilitet data

Ethylen vinyl acetat 5 % Glukose ? mg/ml 25°C Ikke nærmere angivet
7 Dag
5073
Producentens stabilitet data

Ethylen vinyl acetat 5 % Glukose ? mg/ml 37°C Ikke nærmere angivet
7 Dag
5073
Producentens stabilitet data

Ethylen vinyl acetat 5 % Glukose ? mg/ml 4°C Ikke nærmere angivet
7 Dag
5073
Producentens stabilitet data

sprøjte polypropylen 0,9 % Natriumklorid ? mg/ml 25°C Ikke nærmere angivet
7 Dag
5073
Producentens stabilitet data

sprøjte polypropylen 0,9 % Natriumklorid ? mg/ml 37°C Ikke nærmere angivet
7 Dag
5073
Producentens stabilitet data

sprøjte polypropylen 0,9 % Natriumklorid ? mg/ml 4°C Ikke nærmere angivet
7 Dag
5073
Producentens stabilitet data

sprøjte polypropylen 0,9 % Natriumklorid 0,1 mg/ml 25°C Ikke nærmere angivet
100 Dag
4303
Level af bevismateriale A

sprøjte polypropylen 0,9 % Natriumklorid 0,1 mg/ml 30°C Ikke nærmere angivet
30 Dag
5
Level af bevismateriale B

sprøjte polypropylen 0,9 % Natriumklorid 1,5 & 80 mg/ml 23°C Lys
60 Dag
1706
Level af bevismateriale A+

sprøjte polypropylen 0,9 % Natriumklorid 1,5 & 80 mg/ml 37°C Beskyt mod lys
48 Time
1706
Level af bevismateriale A+

sprøjte polypropylen 0,9 % Natriumklorid 1,5 & 80 mg/ml 4°C Beskyt mod lys
60 Dag
1706
Level af bevismateriale A+

sprøjte polypropylen 5 % Glukose ? mg/ml 25°C Ikke nærmere angivet
7 Dag
5073
Producentens stabilitet data

sprøjte polypropylen 5 % Glukose ? mg/ml 37°C Ikke nærmere angivet
7 Dag
5073
Producentens stabilitet data

sprøjte polypropylen 5 % Glukose ? mg/ml 4°C Ikke nærmere angivet
7 Dag
5073
Producentens stabilitet data

sprøjte polypropylen Ingen 10 mg/ml 30°C Ikke nærmere angivet
30 Dag
5
Level af bevismateriale B

Ikke angivet nærmere 0,9 % Natriumklorid 0,2 mg/ml 20°C Med eller uden lys
112 Dag
2659
Level af bevismateriale A

Ikke angivet nærmere 0,9 % Natriumklorid 0,2 mg/ml 35°C Beskyt mod lys
112 Dag
2659
Level af bevismateriale A

Ikke angivet nærmere 0,9 % Natriumklorid 0,2 mg/ml 5°C Beskyt mod lys
112 Dag
2659
Level af bevismateriale A

Ikke angivet nærmere Ingen 10 mg/ml 37°C Beskyt mod lys
120 Dag
1867
Level af bevismateriale D


  Mentions Légales