Senaste uppdateringen :
27/01/2026
Analgetikum   Hydromorphone hydrochloride  
injektion
Lösningars stabilitet Stabilitet i blandningar Faktorer som påverkar stabiliteten Kompatibilitet Administreringssätt Hänvisningar pdf
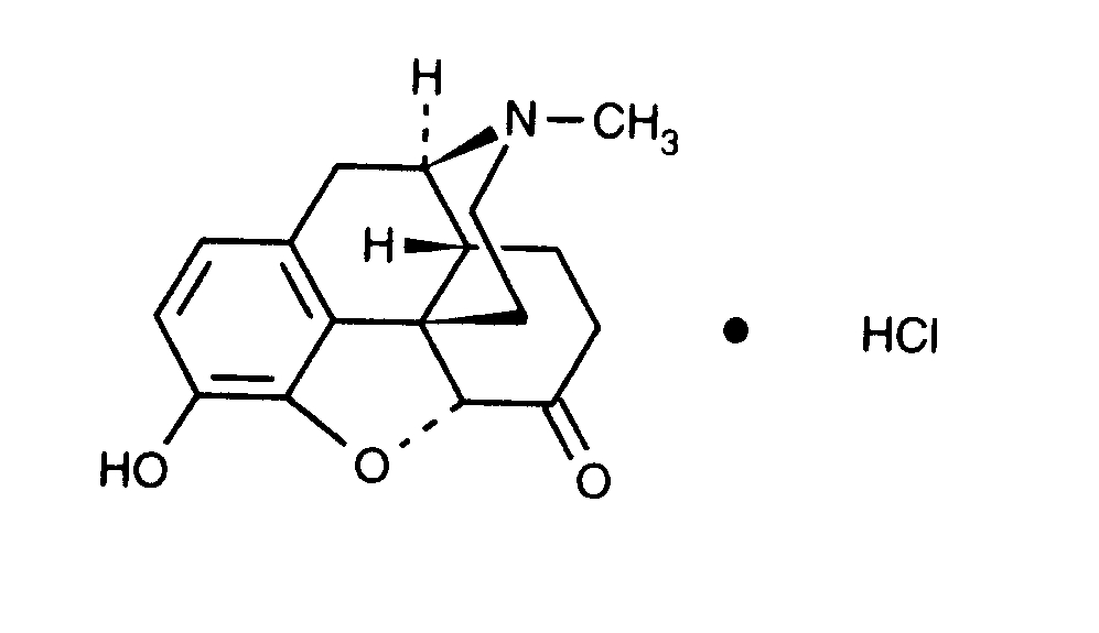
   Molekylstruktur  

Varunamn   Varunamn     

Angivna handelsnamn på läkemedel är enbart vägledande då formulering inklusive hjälpämnen kan variera mellan länder och tillverkare

Dilaudid Förenta Staterna, Kanada
Hydal Österrike
Palladon Danmark, Schweiz
Palladone Storbritannien
Lösningars stabilitet   injektion   Lösningars stabilitet : Hydromorphone hydrochloride     
Behållare Lösningsmedel Koncentration Temperatur Förvaring Stabilitets varaktighet Hänvisningar
Glas Ej angiven 50 mg/ml 37°C Skyddas från ljus
90 Dag
2305

Polyvinylklorid Natriumklorid 0,9 % ? mg/ml 25°C Ej angiven
7 Dag
5073
Tillverkarens stabilitetsuppgifter

Polyvinylklorid Natriumklorid 0,9 % ? mg/ml 37°C Ej angiven
7 Dag
5073
Tillverkarens stabilitetsuppgifter

Polyvinylklorid Natriumklorid 0,9 % ? mg/ml 4°C Ej angiven
7 Dag
5073
Tillverkarens stabilitetsuppgifter

Polyvinylklorid Natriumklorid 0,9 % 0,2 & 10 mg/ml 23°C Ej angiven
90 Dag
4230
Evidensnivå A

Polyvinylklorid Natriumklorid 0,9 % 1 & 5 mg/ml 23°C Ej angiven
42 Dag
120
Evidensnivå C

Polyvinylklorid Natriumklorid 0,9 % 1 & 5 mg/ml 4°C Skyddas från ljus
42 Dag
120
Evidensnivå C

Polyvinylklorid Natriumklorid 0,9 % 20 mg/ml 22°C Ej angiven
7 Dag
4664
Evidensnivå D

Polyvinylklorid Natriumklorid 0,9 % 20 mg/ml 37°C Ej angiven
7 Dag
4664
Evidensnivå D

Polyvinylklorid Glukos 5 % ? mg/ml 25°C Ej angiven
7 Dag
5073
Tillverkarens stabilitetsuppgifter

Polyvinylklorid Glukos 5 % ? mg/ml 37°C Ej angiven
7 Dag
5073
Tillverkarens stabilitetsuppgifter

Polyvinylklorid Glukos 5 % ? mg/ml 4°C Ej angiven
7 Dag
5073
Tillverkarens stabilitetsuppgifter

Polyvinylklorid Glukos 5 % 1 & 5 mg/ml 23°C Ej angiven
42 Dag
120
Evidensnivå C

Polyvinylklorid Glukos 5 % 1 & 5 mg/ml 4°C Skyddas från ljus
42 Dag
120
Evidensnivå C

Polyetylen Natriumklorid 0,9 % ? mg/ml 25°C Ej angiven
7 Dag
5073
Tillverkarens stabilitetsuppgifter

Polyetylen Natriumklorid 0,9 % ? mg/ml 37°C Ej angiven
7 Dag
5073
Tillverkarens stabilitetsuppgifter

Polyetylen Natriumklorid 0,9 % ? mg/ml 4°C Ej angiven
7 Dag
5073
Tillverkarens stabilitetsuppgifter

Polyetylen Glukos 5 % ? mg/ml 25°C Ej angiven
7 Dag
5073
Tillverkarens stabilitetsuppgifter

Polyetylen Glukos 5 % ? mg/ml 37°C Ej angiven
7 Dag
5073
Tillverkarens stabilitetsuppgifter

Polyetylen Glukos 5 % ? mg/ml 4°C Ej angiven
7 Dag
5073
Tillverkarens stabilitetsuppgifter

Polyolefin Natriumklorid 0,9 % 0,2 & 10 mg/ml 23°C Ej angiven
90 Dag
4230
Evidensnivå A

Etylenvinylacetat Natriumklorid 0,9 % ? mg/ml 25°C Ej angiven
7 Dag
5073
Tillverkarens stabilitetsuppgifter

Etylenvinylacetat Natriumklorid 0,9 % ? mg/ml 37°C Ej angiven
7 Dag
5073
Tillverkarens stabilitetsuppgifter

Etylenvinylacetat Natriumklorid 0,9 % ? mg/ml 4°C Ej angiven
7 Dag
5073
Tillverkarens stabilitetsuppgifter

Etylenvinylacetat Glukos 5 % ? mg/ml 25°C Ej angiven
7 Dag
5073
Tillverkarens stabilitetsuppgifter

Etylenvinylacetat Glukos 5 % ? mg/ml 37°C Ej angiven
7 Dag
5073
Tillverkarens stabilitetsuppgifter

Etylenvinylacetat Glukos 5 % ? mg/ml 4°C Ej angiven
7 Dag
5073
Tillverkarens stabilitetsuppgifter

Spruta polypropen Natriumklorid 0,9 % ? mg/ml 25°C Ej angiven
7 Dag
5073
Tillverkarens stabilitetsuppgifter

Spruta polypropen Natriumklorid 0,9 % ? mg/ml 37°C Ej angiven
7 Dag
5073
Tillverkarens stabilitetsuppgifter

Spruta polypropen Natriumklorid 0,9 % ? mg/ml 4°C Ej angiven
7 Dag
5073
Tillverkarens stabilitetsuppgifter

Spruta polypropen Natriumklorid 0,9 % 0,1 mg/ml 25°C Ej angiven
100 Dag
4303
Evidensnivå A

Spruta polypropen Natriumklorid 0,9 % 0,1 mg/ml 30°C Ej angiven
30 Dag
5
Evidensnivå B

Spruta polypropen Natriumklorid 0,9 % 1,5 & 80 mg/ml 23°C Ljus
60 Dag
1706
Evidensnivå A+

Spruta polypropen Natriumklorid 0,9 % 1,5 & 80 mg/ml 37°C Skyddas från ljus
48 Timma
1706
Evidensnivå A+

Spruta polypropen Natriumklorid 0,9 % 1,5 & 80 mg/ml 4°C Skyddas från ljus
60 Dag
1706
Evidensnivå A+

Spruta polypropen Glukos 5 % ? mg/ml 25°C Ej angiven
7 Dag
5073
Tillverkarens stabilitetsuppgifter

Spruta polypropen Glukos 5 % ? mg/ml 37°C Ej angiven
7 Dag
5073
Tillverkarens stabilitetsuppgifter

Spruta polypropen Glukos 5 % ? mg/ml 4°C Ej angiven
7 Dag
5073
Tillverkarens stabilitetsuppgifter

Spruta polypropen Ingen 10 mg/ml 30°C Ej angiven
30 Dag
5
Evidensnivå B

Ej angiven Natriumklorid 0,9 % 0,2 mg/ml 20°C Med eller utan ljus
112 Dag
2659
Evidensnivå A

Ej angiven Natriumklorid 0,9 % 0,2 mg/ml 35°C Skyddas från ljus
112 Dag
2659
Evidensnivå A

Ej angiven Natriumklorid 0,9 % 0,2 mg/ml 5°C Skyddas från ljus
112 Dag
2659
Evidensnivå A

Ej angiven Ingen 10 mg/ml 37°C Skyddas från ljus
120 Dag
1867
Evidensnivå D


  Mentions Légales