Ultimo aggiornamento :
27/04/2026
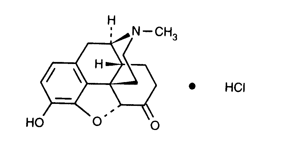
Antalgico   Hydromorphone hydrochloride  
Iniezione
Stabilità in soluzione Stabilità in miscela Fattori che influenzano la stabilità Compatibilità metodo di iniezione Bibliografia pdf
   Struttura chimica  

Nome commerciale   Nome commerciale     

Trade names are indicative and excipients composition can be different depending on the country and manufacturers

Dilaudid Canada, Stati Uniti d’America
Hydal Austria
Palladon Danimarca, Svizzera
Palladone Gran Bretagna
Stabilità in soluzione   Iniezione   Stabilità in soluzione : Hydromorphone hydrochloride     
contenitore Solvente Concentrazione Temperatura Conservazione Durata della stabilità Bibliografia
Vetro Non precisato 50 mg/ml 37°C Al riparo dalla luce
90 Giorno
2305

Cloruro di polivinile Cloruro di sodio 0,9% ? mg/ml 25°C Non precisata
7 Giorno
5073
Dati di stabilità del produttore

Cloruro di polivinile Cloruro di sodio 0,9% ? mg/ml 37°C Non precisata
7 Giorno
5073
Dati di stabilità del produttore

Cloruro di polivinile Cloruro di sodio 0,9% ? mg/ml 4°C Non precisata
7 Giorno
5073
Dati di stabilità del produttore

Cloruro di polivinile Cloruro di sodio 0,9% 0,2 & 10 mg/ml 23°C Non precisata
90 Giorno
4230
Livello di evidenza A

Cloruro di polivinile Cloruro di sodio 0,9% 1 & 5 mg/ml 23°C Non precisata
42 Giorno
120
Livello di evidenza C

Cloruro di polivinile Cloruro di sodio 0,9% 1 & 5 mg/ml 4°C Al riparo dalla luce
42 Giorno
120
Livello di evidenza C

Cloruro di polivinile Cloruro di sodio 0,9% 20 mg/ml 22°C Non precisata
7 Giorno
4664
Livello di evidenza D

Cloruro di polivinile Cloruro di sodio 0,9% 20 mg/ml 37°C Non precisata
7 Giorno
4664
Livello di evidenza D

Cloruro di polivinile Glucosio 5% ? mg/ml 25°C Non precisata
7 Giorno
5073
Dati di stabilità del produttore

Cloruro di polivinile Glucosio 5% ? mg/ml 37°C Non precisata
7 Giorno
5073
Dati di stabilità del produttore

Cloruro di polivinile Glucosio 5% ? mg/ml 4°C Non precisata
7 Giorno
5073
Dati di stabilità del produttore

Cloruro di polivinile Glucosio 5% 1 & 5 mg/ml 23°C Non precisata
42 Giorno
120
Livello di evidenza C

Cloruro di polivinile Glucosio 5% 1 & 5 mg/ml 4°C Al riparo dalla luce
42 Giorno
120
Livello di evidenza C

Polietilene Cloruro di sodio 0,9% ? mg/ml 25°C Non precisata
7 Giorno
5073
Dati di stabilità del produttore

Polietilene Cloruro di sodio 0,9% ? mg/ml 37°C Non precisata
7 Giorno
5073
Dati di stabilità del produttore

Polietilene Cloruro di sodio 0,9% ? mg/ml 4°C Non precisata
7 Giorno
5073
Dati di stabilità del produttore

Polietilene Glucosio 5% ? mg/ml 25°C Non precisata
7 Giorno
5073
Dati di stabilità del produttore

Polietilene Glucosio 5% ? mg/ml 37°C Non precisata
7 Giorno
5073
Dati di stabilità del produttore

Polietilene Glucosio 5% ? mg/ml 4°C Non precisata
7 Giorno
5073
Dati di stabilità del produttore

Poliolefina Cloruro di sodio 0,9% 0,2 & 10 mg/ml 23°C Non precisata
90 Giorno
4230
Livello di evidenza A

Etilene vinilacetato Cloruro di sodio 0,9% ? mg/ml 25°C Non precisata
7 Giorno
5073
Dati di stabilità del produttore

Etilene vinilacetato Cloruro di sodio 0,9% ? mg/ml 37°C Non precisata
7 Giorno
5073
Dati di stabilità del produttore

Etilene vinilacetato Cloruro di sodio 0,9% ? mg/ml 4°C Non precisata
7 Giorno
5073
Dati di stabilità del produttore

Etilene vinilacetato Glucosio 5% ? mg/ml 25°C Non precisata
7 Giorno
5073
Dati di stabilità del produttore

Etilene vinilacetato Glucosio 5% ? mg/ml 37°C Non precisata
7 Giorno
5073
Dati di stabilità del produttore

Etilene vinilacetato Glucosio 5% ? mg/ml 4°C Non precisata
7 Giorno
5073
Dati di stabilità del produttore

siringa polipropilene Cloruro di sodio 0,9% ? mg/ml 25°C Non precisata
7 Giorno
5073
Dati di stabilità del produttore

siringa polipropilene Cloruro di sodio 0,9% ? mg/ml 37°C Non precisata
7 Giorno
5073
Dati di stabilità del produttore

siringa polipropilene Cloruro di sodio 0,9% ? mg/ml 4°C Non precisata
7 Giorno
5073
Dati di stabilità del produttore

siringa polipropilene Cloruro di sodio 0,9% 0,1 mg/ml 25°C Non precisata
100 Giorno
4303
Livello di evidenza A

siringa polipropilene Cloruro di sodio 0,9% 0,1 mg/ml 30°C Non precisata
30 Giorno
5
Livello di evidenza B

siringa polipropilene Cloruro di sodio 0,9% 1,5 & 80 mg/ml 23°C Luce
60 Giorno
1706
Livello di evidenza A+

siringa polipropilene Cloruro di sodio 0,9% 1,5 & 80 mg/ml 37°C Al riparo dalla luce
48 Ora
1706
Livello di evidenza A+

siringa polipropilene Cloruro di sodio 0,9% 1,5 & 80 mg/ml 4°C Al riparo dalla luce
60 Giorno
1706
Livello di evidenza A+

siringa polipropilene Glucosio 5% ? mg/ml 25°C Non precisata
7 Giorno
5073
Dati di stabilità del produttore

siringa polipropilene Glucosio 5% ? mg/ml 37°C Non precisata
7 Giorno
5073
Dati di stabilità del produttore

siringa polipropilene Glucosio 5% ? mg/ml 4°C Non precisata
7 Giorno
5073
Dati di stabilità del produttore

siringa polipropilene Nessuno 10 mg/ml 30°C Non precisata
30 Giorno
5
Livello di evidenza B

Non precisato Cloruro di sodio 0,9% 0,2 mg/ml 20°C Con o senza luce
112 Giorno
2659
Livello di evidenza A

Non precisato Cloruro di sodio 0,9% 0,2 mg/ml 35°C Al riparo dalla luce
112 Giorno
2659
Livello di evidenza A

Non precisato Cloruro di sodio 0,9% 0,2 mg/ml 5°C Al riparo dalla luce
112 Giorno
2659
Livello di evidenza A

Non precisato Nessuno 10 mg/ml 37°C Al riparo dalla luce
120 Giorno
1867
Livello di evidenza D


  Mentions Légales