Viimeisin päivitys :
27/01/2026
Analgeetit   Hydromorphone hydrochloride  
Injektioneste
Stabilius liuoksessa Stabilius seoksissa Tekijät, jotka vaikuttavat stabiliuteen Yhteensopivuus Antotapa Viitteet pdf
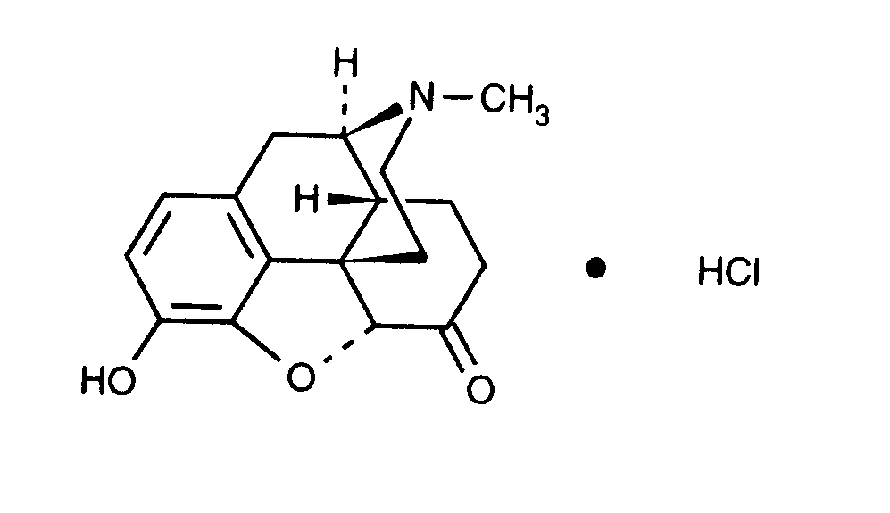
   Kemiallinen rakenne  

Kauppanimi   Kauppanimi     

Trade names are indicative and excipients composition can be different depending on the country and manufacturers

Dilaudid Kanada, Yhdysvallat
Hydal Itävalta
Palladon Sveitsi, Tanska
Palladone Iso-Britannia
Stabilius liuoksessa   Injektioneste   Stabilius liuoksessa : Hydromorphone hydrochloride     
Astia Liuotin Konsentraatio Lämpötila Säilytys Vakauden kesto Viitteet
Lasi Ei määritetty 50 mg/ml 37°C Suojattava valolta
90 Päivä
2305

Polyvinyylikloridi Natriumkloridi 0,9% ? mg/ml 25°C Ei määritetty
7 Päivä
5073
Valmistajan antamat stabiiliustiedot

Polyvinyylikloridi Natriumkloridi 0,9% ? mg/ml 37°C Ei määritetty
7 Päivä
5073
Valmistajan antamat stabiiliustiedot

Polyvinyylikloridi Natriumkloridi 0,9% ? mg/ml 4°C Ei määritetty
7 Päivä
5073
Valmistajan antamat stabiiliustiedot

Polyvinyylikloridi Natriumkloridi 0,9% 0,2 & 10 mg/ml 23°C Ei määritetty
90 Päivä
4230
Näytön laajuus A

Polyvinyylikloridi Natriumkloridi 0,9% 1 & 5 mg/ml 23°C Ei määritetty
42 Päivä
120
Näytön laajuus C

Polyvinyylikloridi Natriumkloridi 0,9% 1 & 5 mg/ml 4°C Suojattava valolta
42 Päivä
120
Näytön laajuus C

Polyvinyylikloridi Natriumkloridi 0,9% 20 mg/ml 22°C Ei määritetty
7 Päivä
4664
Näytön laajuus D

Polyvinyylikloridi Natriumkloridi 0,9% 20 mg/ml 37°C Ei määritetty
7 Päivä
4664
Näytön laajuus D

Polyvinyylikloridi Glukoosi 5% ? mg/ml 25°C Ei määritetty
7 Päivä
5073
Valmistajan antamat stabiiliustiedot

Polyvinyylikloridi Glukoosi 5% ? mg/ml 37°C Ei määritetty
7 Päivä
5073
Valmistajan antamat stabiiliustiedot

Polyvinyylikloridi Glukoosi 5% ? mg/ml 4°C Ei määritetty
7 Päivä
5073
Valmistajan antamat stabiiliustiedot

Polyvinyylikloridi Glukoosi 5% 1 & 5 mg/ml 23°C Ei määritetty
42 Päivä
120
Näytön laajuus C

Polyvinyylikloridi Glukoosi 5% 1 & 5 mg/ml 4°C Suojattava valolta
42 Päivä
120
Näytön laajuus C

Polyetyleeni Natriumkloridi 0,9% ? mg/ml 25°C Ei määritetty
7 Päivä
5073
Valmistajan antamat stabiiliustiedot

Polyetyleeni Natriumkloridi 0,9% ? mg/ml 37°C Ei määritetty
7 Päivä
5073
Valmistajan antamat stabiiliustiedot

Polyetyleeni Natriumkloridi 0,9% ? mg/ml 4°C Ei määritetty
7 Päivä
5073
Valmistajan antamat stabiiliustiedot

Polyetyleeni Glukoosi 5% ? mg/ml 25°C Ei määritetty
7 Päivä
5073
Valmistajan antamat stabiiliustiedot

Polyetyleeni Glukoosi 5% ? mg/ml 37°C Ei määritetty
7 Päivä
5073
Valmistajan antamat stabiiliustiedot

Polyetyleeni Glukoosi 5% ? mg/ml 4°C Ei määritetty
7 Päivä
5073
Valmistajan antamat stabiiliustiedot

Polyolefiini Natriumkloridi 0,9% 0,2 & 10 mg/ml 23°C Ei määritetty
90 Päivä
4230
Näytön laajuus A

Etyleenivinyyliasetaatti Natriumkloridi 0,9% ? mg/ml 25°C Ei määritetty
7 Päivä
5073
Valmistajan antamat stabiiliustiedot

Etyleenivinyyliasetaatti Natriumkloridi 0,9% ? mg/ml 37°C Ei määritetty
7 Päivä
5073
Valmistajan antamat stabiiliustiedot

Etyleenivinyyliasetaatti Natriumkloridi 0,9% ? mg/ml 4°C Ei määritetty
7 Päivä
5073
Valmistajan antamat stabiiliustiedot

Etyleenivinyyliasetaatti Glukoosi 5% ? mg/ml 25°C Ei määritetty
7 Päivä
5073
Valmistajan antamat stabiiliustiedot

Etyleenivinyyliasetaatti Glukoosi 5% ? mg/ml 37°C Ei määritetty
7 Päivä
5073
Valmistajan antamat stabiiliustiedot

Etyleenivinyyliasetaatti Glukoosi 5% ? mg/ml 4°C Ei määritetty
7 Päivä
5073
Valmistajan antamat stabiiliustiedot

Ruisku  polypropeeni Natriumkloridi 0,9% ? mg/ml 25°C Ei määritetty
7 Päivä
5073
Valmistajan antamat stabiiliustiedot

Ruisku  polypropeeni Natriumkloridi 0,9% ? mg/ml 37°C Ei määritetty
7 Päivä
5073
Valmistajan antamat stabiiliustiedot

Ruisku  polypropeeni Natriumkloridi 0,9% ? mg/ml 4°C Ei määritetty
7 Päivä
5073
Valmistajan antamat stabiiliustiedot

Ruisku  polypropeeni Natriumkloridi 0,9% 0,1 mg/ml 25°C Ei määritetty
100 Päivä
4303
Näytön laajuus A

Ruisku  polypropeeni Natriumkloridi 0,9% 0,1 mg/ml 30°C Ei määritetty
30 Päivä
5
Näytön laajuus B

Ruisku  polypropeeni Natriumkloridi 0,9% 1,5 & 80 mg/ml 23°C Valo
60 Päivä
1706
Näytön laajuus A+

Ruisku  polypropeeni Natriumkloridi 0,9% 1,5 & 80 mg/ml 37°C Suojattava valolta
48 tunti
1706
Näytön laajuus A+

Ruisku  polypropeeni Natriumkloridi 0,9% 1,5 & 80 mg/ml 4°C Suojattava valolta
60 Päivä
1706
Näytön laajuus A+

Ruisku  polypropeeni Glukoosi 5% ? mg/ml 25°C Ei määritetty
7 Päivä
5073
Valmistajan antamat stabiiliustiedot

Ruisku  polypropeeni Glukoosi 5% ? mg/ml 37°C Ei määritetty
7 Päivä
5073
Valmistajan antamat stabiiliustiedot

Ruisku  polypropeeni Glukoosi 5% ? mg/ml 4°C Ei määritetty
7 Päivä
5073
Valmistajan antamat stabiiliustiedot

Ruisku  polypropeeni Ei mikään 10 mg/ml 30°C Ei määritetty
30 Päivä
5
Näytön laajuus B

Ei määritetty Natriumkloridi 0,9% 0,2 mg/ml 20°C Valossa tai suojassa valolta
112 Päivä
2659
Näytön laajuus A

Ei määritetty Natriumkloridi 0,9% 0,2 mg/ml 35°C Suojattava valolta
112 Päivä
2659
Näytön laajuus A

Ei määritetty Natriumkloridi 0,9% 0,2 mg/ml 5°C Suojattava valolta
112 Päivä
2659
Näytön laajuus A

Ei määritetty Ei mikään 10 mg/ml 37°C Suojattava valolta
120 Päivä
1867
Näytön laajuus D


  Mentions Légales