Cập nhật lần cuối :
27/11/2025
Kháng sinh   Piperacillin sodium / tazobactam  
Dạng tiêm
Tính ổn định của các dung dịch Độ ổn định khi trộn lẫn Những yếu tố ảnh hưởng đến độ ổn định Khả năng tương thích Đường dùng Tài liệu tham khảo Pdf
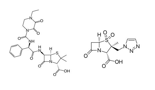
   Cấu trúc hóa học  

Tên thương mại   Tên thương mại     

Các tên thương mại được cung cấp và thành phần tá dược có thể khác nhau giữa các quốc gia và các hãng dược

Bagotaz Argentina
Betampil Ecuador
Bioval Chile
Petezam Argentina
Piperac Đức
Piperacillin tazobactam Bỉ, Canada, Đức
Piperazam Brazil
Pipetazo Chile
Pipitaz Áo
Pixamol Colombia
Tazobac Bồ Đào Nha, Ecuador, Thụy Sỹ, Ý
Tazocel Tây Ban Nha
Tazocilline Pháp
Tazocin Ả Rập, Anh, Argentina, Ba Lan, Bắc ireland, Brazil, Colombia, Cộng hòa Nam Phi, Croatia, Hà Lan, Hungary, Hy Lạp, Luxembourg, Mexico, Na Uy, new zealand, Peru, Phần Lan, Thổ Nhĩ Kỳ, Thụy Điển, Úc, United Arab Emirates, Ý, Đan Mạch
Tazonam Áo, Chile
Tazopip Úc
Tazpen Colombia, Mexico
Tazrobida Colombia
Tigux Chile
Tratac Chile
Trital Ecuador
Zosyn Hoa Kỳ, Nhật
Độ ổn định khi trộn lẫn   Dạng tiêm   Độ ổn định khi trộn lẫn : Piperacillin sodium / tazobactam     
Bao bì Dung môi Nồng độ Phân tử Nhiệt độ Bảo quản Thời gian ổn định Mục lục
Thủy tinh NaCl 0,9% 80/10 mg/ml
Dạng tiêm   Piperacillin sodium / tazobactam   
Dạng tiêm   Ranitidine hydrochloride 0,5 & 2 mg/ml
23°C
4 Giờ
Ánh sáng 235
Cấp độ bằng chứng B
Thủy tinh NaCl 0,9% 20/2,5 >> 40/5 mg/ml
Dạng tiêm   Piperacillin sodium / tazobactam   
Dạng tiêm   Ondansetron hydrochloride 0,015 >> 0,15 mg/ml
23°C
4 Giờ
Ánh sáng 16
Nhựa polyvinyl chloride Dianéal® PD1 1,5% glucose (Baxter) 0,5/0,0625 mg/ml
Dạng tiêm   Piperacillin sodium / tazobactam   
Dạng tiêm   Heparin sodium 0,5 UI/ml
37°C
10 Giờ
Không rõ 4180
Cấp độ bằng chứng B
Nhựa polyvinyl chloride Dianéal® PD1 1,5% glucose (Baxter) 0,5/0,0625 mg/ml
Dạng tiêm   Piperacillin sodium / tazobactam   
Dạng tiêm   Heparin sodium 0,5 UI/ml
4°C
168 Giờ
Không rõ 4180
Cấp độ bằng chứng B
Nhựa polyvinyl chloride Dianéal® PD2 4,25% glucose (Baxter) 0,5/0,0625 mg/ml
Dạng tiêm   Piperacillin sodium / tazobactam   
Dạng tiêm   Heparin sodium 0,5 UI/ml
37°C
10 Giờ
Không rõ 4180
Cấp độ bằng chứng B
Nhựa polyvinyl chloride Dianéal® PD2 4,25% glucose (Baxter) 0,5/0,0625 mg/ml
Dạng tiêm   Piperacillin sodium / tazobactam   
Dạng tiêm   Heparin sodium 0,5 UI/ml
4°C
168 Giờ
Không rõ 4180
Cấp độ bằng chứng B
Nhựa polyvinyl chloride Dianéal® PD2 2,5% glucose (Baxter) 0,5/0,0625 mg/ml
Dạng tiêm   Piperacillin sodium / tazobactam   
Dạng tiêm   Heparin sodium 0,5 UI/ml
37°C
10 Giờ
Không rõ 4180
Cấp độ bằng chứng B
Nhựa polyvinyl chloride Dianéal® PD2 2,5% glucose (Baxter) 0,5/0,0625 mg/ml
Dạng tiêm   Piperacillin sodium / tazobactam   
Dạng tiêm   Heparin sodium 0,5 UI/ml
4°C
168 Giờ
Không rõ 4180
Cấp độ bằng chứng B
Nhựa polyvinyl chloride Extraneal® (Baxter) 0,5/0,0625 mg/ml
Dạng tiêm   Piperacillin sodium / tazobactam   
Dạng tiêm   Heparin sodium 0,5 UI/ml
37°C
10 Giờ
Không rõ 4180
Cấp độ bằng chứng B
Nhựa polyvinyl chloride Extraneal® (Baxter) 0,5/0,0625 mg/ml
Dạng tiêm   Piperacillin sodium / tazobactam   
Dạng tiêm   Heparin sodium 0,5 UI/ml
4°C
168 Giờ
Không rõ 4180
Cấp độ bằng chứng B
Nhựa polyvinyl chloride Physionéal® 1.36 (Baxter) 1,38/0,172 mg/ml
Dạng tiêm   Piperacillin sodium / tazobactam   
Dạng tiêm   Heparin sodium 1,4 UI/ml
37°C
10 Giờ
Không rõ 4180
Cấp độ bằng chứng B
Nhựa polyvinyl chloride Physionéal® 1.36 (Baxter) 1,38/0,172 mg/ml
Dạng tiêm   Piperacillin sodium / tazobactam   
Dạng tiêm   Heparin sodium 1,4 UI/ml
4°C
168 Giờ
Không rõ 4180
Cấp độ bằng chứng B
Nhựa polyvinyl chloride Physionéal® 2.27 (Baxter) 1,38/0,172 mg/ml
Dạng tiêm   Piperacillin sodium / tazobactam   
Dạng tiêm   Heparin sodium 1,4 UI/ml
37°C
10 Giờ
Không rõ 4180
Cấp độ bằng chứng B
Nhựa polyvinyl chloride Physionéal® 2.27 (Baxter) 1,38/0,172 mg/ml
Dạng tiêm   Piperacillin sodium / tazobactam   
Dạng tiêm   Heparin sodium 1,4 UI/ml
4°C
168 Giờ
Không rõ 4180
Cấp độ bằng chứng B
Nhựa polyvinyl chloride Physionéal® 3.86 (Baxter) 1,38/0,172 mg/ml
Dạng tiêm   Piperacillin sodium / tazobactam   
Dạng tiêm   Heparin sodium 1,4 UI/ml
37°C
10 Giờ
Không rõ 4180
Cấp độ bằng chứng B
Nhựa polyvinyl chloride Physionéal® 3.86 (Baxter) 1,38/0,172 mg/ml
Dạng tiêm   Piperacillin sodium / tazobactam   
Dạng tiêm   Heparin sodium 1,4 UI/ml
4°C
168 Giờ
Không rõ 4180
Cấp độ bằng chứng B
Nhựa polypropylen NaCl 0,9% 20 / 2.5 mg/ml
Dạng tiêm   Piperacillin sodium / tazobactam   
Dạng tiêm   Norepinephrine bitartrate 0,032 mg/ml
22-23°C
24 Giờ
Tránh ánh sáng 4758
Cấp độ bằng chứng B
ống tiêm polypropylene Nước cất pha tiêm 90/10 mg/ml
Dạng tiêm   Piperacillin sodium / tazobactam   
Dạng tiêm   Paracetamol 10 mg/ml
25°C
4 Giờ
Không rõ 3571
Cấp độ bằng chứng A+

  Mentions Légales