viimane versioon :
27/04/2026
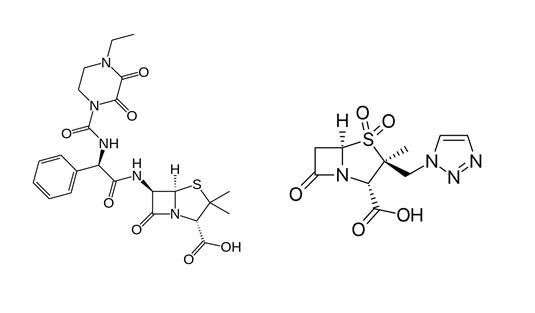
antibiootikum   Piperacillin sodium / tazobactam  
Süsteravim
Stabiilsus lahustes Stabiilsust mõjutavad tegurid stabiilsust mõjutavad faktorid Sobimatus Manustamis viis Viited pdf
   keemiline struktuur  

Kaubanduslikud nimed erinevates maades   Kaubanduslikud nimed erinevates maades     

Preparaatide nimed on näitlikud ja abianete sisaldus võib erineda sõltuvalt riigist ja laborist

Bagotaz Argentiina
Betampil Ecuador
Bioval Tšiili
Petezam Argentiina
Piperac Saksamaa
Piperacillin tazobactam Belgia, Kanada, Saksamaa
Piperazam Brasiilia
Pipetazo Tšiili
Pipitaz Austria
Pixamol Kolumbia
Tazobac Ecuador, Itaalia, Portugal, Sveits
Tazocel Hispaania
Tazocilline Prantsusmaa
Tazocin Araabia Ühendemiraadid, Argentiina, Austraalia, Brasiilia, Egiptus, Holland, Horvaatia, Itaalia, Kolumbia, Kreeka, Lõuna Aafrika Vabariik, Luksemburg, Maroko, Mehhiko, Norra, Põhja-Iirimaa, Poola, Rootsi, Soome, Suurbritannia, Taani, Türgi, Ungari, uus-Meremaa
Tazonam Austria, Tšiili
Tazopip Austraalia
Tazpen Kolumbia, Mehhiko
Tazrobida Kolumbia
Tigux Tšiili
Tratac Tšiili
Trital Ecuador
Zosyn Ameerika ühendriigid, Jaapan
Stabiilsust mõjutavad tegurid   Süsteravim   Stabiilsust mõjutavad tegurid : Piperacillin sodium / tazobactam     
konteiner lahusti kontsentratsioon ingredient temperatuur ladustamine Stabiilsuse kestus Viited
klaas naatriumkloriid 0.9% 80/10 mg/ml
Süsteravim   Piperacillin sodium / tazobactam   
Süsteravim   Ranitidine hydrochloride 0,5 & 2 mg/ml
23°C
4 Tund
valgus 235
Tõenduspõhisuse tase B
klaas naatriumkloriid 0.9% 20/2,5 >> 40/5 mg/ml
Süsteravim   Piperacillin sodium / tazobactam   
Süsteravim   Ondansetron hydrochloride 0,015 >> 0,15 mg/ml
23°C
4 Tund
valgus 16
polüvinüülkloriid Dianéal® PD1 1.5% glükoos (Baxter) 0,5/0,0625 mg/ml
Süsteravim   Piperacillin sodium / tazobactam   
Süsteravim   Heparin sodium 0,5 UI/ml
37°C
10 Tund
pole täpsustatud 4180
Tõenduspõhisuse tase B
polüvinüülkloriid Dianéal® PD1 1.5% glükoos (Baxter) 0,5/0,0625 mg/ml
Süsteravim   Piperacillin sodium / tazobactam   
Süsteravim   Heparin sodium 0,5 UI/ml
4°C
168 Tund
pole täpsustatud 4180
Tõenduspõhisuse tase B
polüvinüülkloriid Dianéal® PD2 4.25% glükoos (Baxter) 0,5/0,0625 mg/ml
Süsteravim   Piperacillin sodium / tazobactam   
Süsteravim   Heparin sodium 0,5 UI/ml
37°C
10 Tund
pole täpsustatud 4180
Tõenduspõhisuse tase B
polüvinüülkloriid Dianéal® PD2 4.25% glükoos (Baxter) 0,5/0,0625 mg/ml
Süsteravim   Piperacillin sodium / tazobactam   
Süsteravim   Heparin sodium 0,5 UI/ml
4°C
168 Tund
pole täpsustatud 4180
Tõenduspõhisuse tase B
polüvinüülkloriid Dianéal® PD2 2.5% glucose (Baxter) 0,5/0,0625 mg/ml
Süsteravim   Piperacillin sodium / tazobactam   
Süsteravim   Heparin sodium 0,5 UI/ml
37°C
10 Tund
pole täpsustatud 4180
Tõenduspõhisuse tase B
polüvinüülkloriid Dianéal® PD2 2.5% glucose (Baxter) 0,5/0,0625 mg/ml
Süsteravim   Piperacillin sodium / tazobactam   
Süsteravim   Heparin sodium 0,5 UI/ml
4°C
168 Tund
pole täpsustatud 4180
Tõenduspõhisuse tase B
polüvinüülkloriid Extraneal® (Baxter) 0,5/0,0625 mg/ml
Süsteravim   Piperacillin sodium / tazobactam   
Süsteravim   Heparin sodium 0,5 UI/ml
37°C
10 Tund
pole täpsustatud 4180
Tõenduspõhisuse tase B
polüvinüülkloriid Extraneal® (Baxter) 0,5/0,0625 mg/ml
Süsteravim   Piperacillin sodium / tazobactam   
Süsteravim   Heparin sodium 0,5 UI/ml
4°C
168 Tund
pole täpsustatud 4180
Tõenduspõhisuse tase B
polüvinüülkloriid Physionéal® 1.36 (Baxter) 1,38/0,172 mg/ml
Süsteravim   Piperacillin sodium / tazobactam   
Süsteravim   Heparin sodium 1,4 UI/ml
37°C
10 Tund
pole täpsustatud 4180
Tõenduspõhisuse tase B
polüvinüülkloriid Physionéal® 1.36 (Baxter) 1,38/0,172 mg/ml
Süsteravim   Piperacillin sodium / tazobactam   
Süsteravim   Heparin sodium 1,4 UI/ml
4°C
168 Tund
pole täpsustatud 4180
Tõenduspõhisuse tase B
polüvinüülkloriid Physionéal® 2.27 (Baxter) 1,38/0,172 mg/ml
Süsteravim   Piperacillin sodium / tazobactam   
Süsteravim   Heparin sodium 1,4 UI/ml
37°C
10 Tund
pole täpsustatud 4180
Tõenduspõhisuse tase B
polüvinüülkloriid Physionéal® 2.27 (Baxter) 1,38/0,172 mg/ml
Süsteravim   Piperacillin sodium / tazobactam   
Süsteravim   Heparin sodium 1,4 UI/ml
4°C
168 Tund
pole täpsustatud 4180
Tõenduspõhisuse tase B
polüvinüülkloriid Physionéal® 3.86 (Baxter) 1,38/0,172 mg/ml
Süsteravim   Piperacillin sodium / tazobactam   
Süsteravim   Heparin sodium 1,4 UI/ml
37°C
10 Tund
pole täpsustatud 4180
Tõenduspõhisuse tase B
polüvinüülkloriid Physionéal® 3.86 (Baxter) 1,38/0,172 mg/ml
Süsteravim   Piperacillin sodium / tazobactam   
Süsteravim   Heparin sodium 1,4 UI/ml
4°C
168 Tund
pole täpsustatud 4180
Tõenduspõhisuse tase B
polüpropüleen naatriumkloriid 0.9% 20 / 2.5 mg/ml
Süsteravim   Piperacillin sodium / tazobactam   
Süsteravim   Norepinephrine bitartrate 0,032 mg/ml
22-23°C
24 Tund
kaitsta valguse eest 4758
Tõenduspõhisuse tase B
süstal  polüpropüleenist süstevesi 90/10 mg/ml
Süsteravim   Piperacillin sodium / tazobactam   
Süsteravim   Paracetamol 10 mg/ml
25°C
4 Tund
pole täpsustatud 3571
Tõenduspõhisuse tase A+

  Mentions Légales