Τελευταία ενημέρωση :
27/11/2025
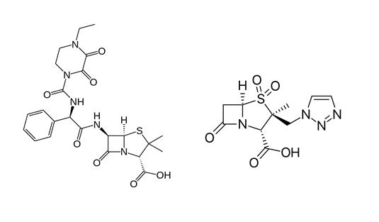
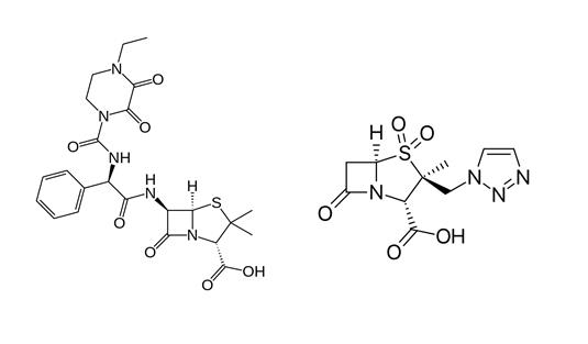
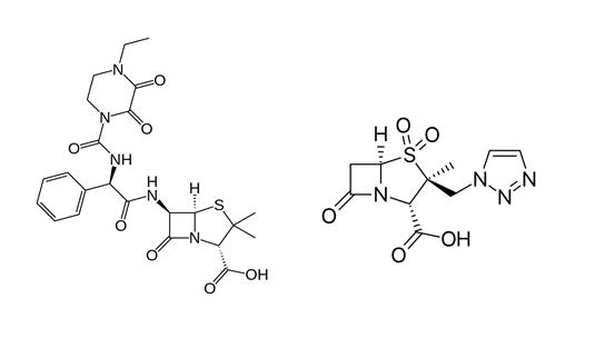
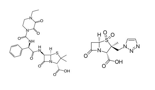
Αντιβιοτικό   Piperacillin sodium / tazobactam  
Ενέσιμο
Σταθερότητα διαλυμάτων Σταθερότητα σε μίγματα Παράγοντας που επηρεάζει τη σταθερότητα Συμβατότητες Τρόπος χορήγησης Βιβλιογραφία pdf
   χημική δομή  

Εμπορική ονομασία   Εμπορική ονομασία     

Οι εμπορικές ονομασίες είναι ενδεικτικές και η σύνθεση των εκδόχων μπορεί να διαφέρει ανάλογα με τη χώρα και τα εργαστήρια

Bagotaz Αργεντινή
Betampil Εκουαδόρ
Bioval Χιλή
Petezam Αργεντινή
Piperac Γερμανία
Piperacillin tazobactam Βέλγιο, Γερμανία, Καναδάς
Piperazam Βραζιλία
Pipetazo Χιλή
Pipitaz Αυστρία
Pixamol Κολομβία
Tazobac Εκουαδόρ, Ελβετία, Ιταλία, Πορτογαλία
Tazocel Ισπανία
Tazocilline Γαλλία
Tazocin Yhdistyneet arabiemiirikunnat, Αίγυπτος, Αργεντινή, Αυστραλία, Βόρεια Ιρλανδία, Βραζιλία, Δανία, Ελλάδα, Ιταλία, Κολομβία, Κροατία, Λουξεμβούργο, Μεγάλη Βρετανία, Μεξικό, νέα Ζηλανδία, Νορβηγία, Νότιος Αφρική, Ολλανδία, Ουγγαρία, Περού, Πολωνία, Σουηδία, Τουρκία, Φινλανδία
Tazonam Αυστρία, Χιλή
Tazopip Αυστραλία
Tazpen Κολομβία, Μεξικό
Tazrobida Κολομβία
Tigux Χιλή
Tratac Χιλή
Trital Εκουαδόρ
Zosyn Η.Π.Α., Ιαπωνία
Σταθερότητα σε μίγματα   Ενέσιμο   Σταθερότητα σε μίγματα : Piperacillin sodium / tazobactam     
Υποδοχέας Διαλυτικό Συγκέντρωση Συστατικό Θερμοκρασία Αποθήκευση Διάρκεια σταθερότητας Βιβλιογραφία
Ύαλος Χλωριούχο νάτριο 0,9% 80/10 mg/ml
Ενέσιμο   Piperacillin sodium / tazobactam   
Ενέσιμο   Ranitidine hydrochloride 0,5 & 2 mg/ml
23°C
4 Ώρα
Φως 235
Επίπεδο των αποδεικτικών στοιχείων B
Ύαλος Χλωριούχο νάτριο 0,9% 20/2,5 >> 40/5 mg/ml
Ενέσιμο   Piperacillin sodium / tazobactam   
Ενέσιμο   Ondansetron hydrochloride 0,015 >> 0,15 mg/ml
23°C
4 Ώρα
Φως 16
Πολυβινυλοχλωρίδιο Dianéal® PD1 1.5% Γλυκόζη (Baxter) 0,5/0,0625 mg/ml
Ενέσιμο   Piperacillin sodium / tazobactam   
Ενέσιμο   Heparin sodium 0,5 UI/ml
37°C
10 Ώρα
Απροσδιόριστο 4180
Επίπεδο των αποδεικτικών στοιχείων B
Πολυβινυλοχλωρίδιο Dianéal® PD1 1.5% Γλυκόζη (Baxter) 0,5/0,0625 mg/ml
Ενέσιμο   Piperacillin sodium / tazobactam   
Ενέσιμο   Heparin sodium 0,5 UI/ml
4°C
168 Ώρα
Απροσδιόριστο 4180
Επίπεδο των αποδεικτικών στοιχείων B
Πολυβινυλοχλωρίδιο Dianéal® PD2 4.25% Γλυκόζη (Baxter) 0,5/0,0625 mg/ml
Ενέσιμο   Piperacillin sodium / tazobactam   
Ενέσιμο   Heparin sodium 0,5 UI/ml
37°C
10 Ώρα
Απροσδιόριστο 4180
Επίπεδο των αποδεικτικών στοιχείων B
Πολυβινυλοχλωρίδιο Dianéal® PD2 4.25% Γλυκόζη (Baxter) 0,5/0,0625 mg/ml
Ενέσιμο   Piperacillin sodium / tazobactam   
Ενέσιμο   Heparin sodium 0,5 UI/ml
4°C
168 Ώρα
Απροσδιόριστο 4180
Επίπεδο των αποδεικτικών στοιχείων B
Πολυβινυλοχλωρίδιο Dianéal® PD2 2.5% glucose (Baxter) 0,5/0,0625 mg/ml
Ενέσιμο   Piperacillin sodium / tazobactam   
Ενέσιμο   Heparin sodium 0,5 UI/ml
37°C
10 Ώρα
Απροσδιόριστο 4180
Επίπεδο των αποδεικτικών στοιχείων B
Πολυβινυλοχλωρίδιο Dianéal® PD2 2.5% glucose (Baxter) 0,5/0,0625 mg/ml
Ενέσιμο   Piperacillin sodium / tazobactam   
Ενέσιμο   Heparin sodium 0,5 UI/ml
4°C
168 Ώρα
Απροσδιόριστο 4180
Επίπεδο των αποδεικτικών στοιχείων B
Πολυβινυλοχλωρίδιο Extraneal® (Baxter) 0,5/0,0625 mg/ml
Ενέσιμο   Piperacillin sodium / tazobactam   
Ενέσιμο   Heparin sodium 0,5 UI/ml
37°C
10 Ώρα
Απροσδιόριστο 4180
Επίπεδο των αποδεικτικών στοιχείων B
Πολυβινυλοχλωρίδιο Extraneal® (Baxter) 0,5/0,0625 mg/ml
Ενέσιμο   Piperacillin sodium / tazobactam   
Ενέσιμο   Heparin sodium 0,5 UI/ml
4°C
168 Ώρα
Απροσδιόριστο 4180
Επίπεδο των αποδεικτικών στοιχείων B
Πολυβινυλοχλωρίδιο Physionéal® 1.36 (Baxter) 1,38/0,172 mg/ml
Ενέσιμο   Piperacillin sodium / tazobactam   
Ενέσιμο   Heparin sodium 1,4 UI/ml
37°C
10 Ώρα
Απροσδιόριστο 4180
Επίπεδο των αποδεικτικών στοιχείων B
Πολυβινυλοχλωρίδιο Physionéal® 1.36 (Baxter) 1,38/0,172 mg/ml
Ενέσιμο   Piperacillin sodium / tazobactam   
Ενέσιμο   Heparin sodium 1,4 UI/ml
4°C
168 Ώρα
Απροσδιόριστο 4180
Επίπεδο των αποδεικτικών στοιχείων B
Πολυβινυλοχλωρίδιο Physionéal® 2.27 (Baxter) 1,38/0,172 mg/ml
Ενέσιμο   Piperacillin sodium / tazobactam   
Ενέσιμο   Heparin sodium 1,4 UI/ml
37°C
10 Ώρα
Απροσδιόριστο 4180
Επίπεδο των αποδεικτικών στοιχείων B
Πολυβινυλοχλωρίδιο Physionéal® 2.27 (Baxter) 1,38/0,172 mg/ml
Ενέσιμο   Piperacillin sodium / tazobactam   
Ενέσιμο   Heparin sodium 1,4 UI/ml
4°C
168 Ώρα
Απροσδιόριστο 4180
Επίπεδο των αποδεικτικών στοιχείων B
Πολυβινυλοχλωρίδιο Physionéal® 3.86 (Baxter) 1,38/0,172 mg/ml
Ενέσιμο   Piperacillin sodium / tazobactam   
Ενέσιμο   Heparin sodium 1,4 UI/ml
37°C
10 Ώρα
Απροσδιόριστο 4180
Επίπεδο των αποδεικτικών στοιχείων B
Πολυβινυλοχλωρίδιο Physionéal® 3.86 (Baxter) 1,38/0,172 mg/ml
Ενέσιμο   Piperacillin sodium / tazobactam   
Ενέσιμο   Heparin sodium 1,4 UI/ml
4°C
168 Ώρα
Απροσδιόριστο 4180
Επίπεδο των αποδεικτικών στοιχείων B
Πολυπροπυλένιο Χλωριούχο νάτριο 0,9% 20 / 2.5 mg/ml
Ενέσιμο   Piperacillin sodium / tazobactam   
Ενέσιμο   Norepinephrine bitartrate 0,032 mg/ml
22-23°C
24 Ώρα
Προστατεύετε από το φως 4758
Επίπεδο των αποδεικτικών στοιχείων B
σύριγγα πολυπροπυλένιο Ενέσιμο ύδωρ 90/10 mg/ml
Ενέσιμο   Piperacillin sodium / tazobactam   
Ενέσιμο   Paracetamol 10 mg/ml
25°C
4 Ώρα
Απροσδιόριστο 3571
Επίπεδο των αποδεικτικών στοιχείων A+

  Mentions Légales