Poslední aktualizace :
27/04/2026
Antibiotikas   Piperacillin sodium / tazobactam  
Įpurškimas
Tirpalų stabilumas Mišinių stabilumas Stabilumą lemiantys veiksniai Suderinamumas Leidimo būdai Bibliografija pdf
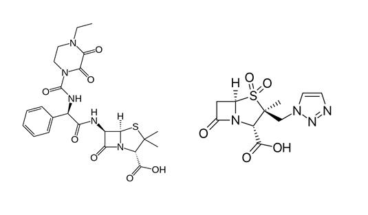
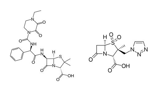
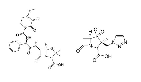
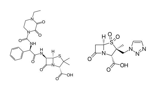
   Cheminė sandara  

Prekinis pavadinimas   Prekinis pavadinimas     

Trade names are indicative and excipients composition can be different depending on the country and manufacturers

Bagotaz Argentina
Betampil Ekvadoras
Bioval Čilė
Petezam Argentina
Piperac Vokietija
Piperacillin tazobactam Belgija, Kanada, Vokietija
Piperazam Brazilija
Pipetazo Čilė
Pipitaz Austrija
Pixamol Kolumbija
Tazobac Ekvadoras, Italija, Portugalija, Šveicarija
Tazocel Ispanija
Tazocilline Prancūzija
Tazocin Argentina, Australija, Brazilija, Danija, Didžioji Britanija, Egiptas, Graikija, Italija, Jungtiniai Arabų Emyratai, Kolumbija, Kroatija, Lenkija, Liuksemburgas, Meksikas, Naujojoje Zelandijoje, Norvegija, Olandija, Peru, Pietų Afrikos Respublika, Šiaurės Airijoje, Suomija, Švedija, Turkija, Vengrija
Tazonam Austrija, Čilė
Tazopip Australija
Tazpen Kolumbija, Meksikas
Tazrobida Kolumbija
Tigux Čilė
Tratac Čilė
Trital Ekvadoras
Zosyn Japonija, Jungtinės Amerikos Valstijos
Mišinių stabilumas   Įpurškimas   Mišinių stabilumas : Piperacillin sodium / tazobactam     
Pakuotė Tirpiklis Koncentracija Molekulė Temperatūra Laikymas Stabilumo trukmė Nuorodos
Stiklas Natrio chloridas 0,9% 80/10 mg/ml
Įpurškimas   Piperacillin sodium / tazobactam   
Įpurškimas   Ranitidine hydrochloride 0,5 & 2 mg/ml
23°C
4 Valanda
Šviesa 235
Bandymo lygis B
Stiklas Natrio chloridas 0,9% 20/2,5 >> 40/5 mg/ml
Įpurškimas   Piperacillin sodium / tazobactam   
Įpurškimas   Ondansetron hydrochloride 0,015 >> 0,15 mg/ml
23°C
4 Valanda
Šviesa 16
Polivinilchloridas Dianéal® PD1 1.5% Gliukozė (Baxter) 0,5/0,0625 mg/ml
Įpurškimas   Piperacillin sodium / tazobactam   
Įpurškimas   Heparin sodium 0,5 UI/ml
37°C
10 Valanda
Nenurodyta 4180
Bandymo lygis B
Polivinilchloridas Dianéal® PD1 1.5% Gliukozė (Baxter) 0,5/0,0625 mg/ml
Įpurškimas   Piperacillin sodium / tazobactam   
Įpurškimas   Heparin sodium 0,5 UI/ml
4°C
168 Valanda
Nenurodyta 4180
Bandymo lygis B
Polivinilchloridas Dianéal® PD2 4.25% Gliukozė (Baxter) 0,5/0,0625 mg/ml
Įpurškimas   Piperacillin sodium / tazobactam   
Įpurškimas   Heparin sodium 0,5 UI/ml
37°C
10 Valanda
Nenurodyta 4180
Bandymo lygis B
Polivinilchloridas Dianéal® PD2 4.25% Gliukozė (Baxter) 0,5/0,0625 mg/ml
Įpurškimas   Piperacillin sodium / tazobactam   
Įpurškimas   Heparin sodium 0,5 UI/ml
4°C
168 Valanda
Nenurodyta 4180
Bandymo lygis B
Polivinilchloridas Dianéal® PD2 2.5% glucose (Baxter) 0,5/0,0625 mg/ml
Įpurškimas   Piperacillin sodium / tazobactam   
Įpurškimas   Heparin sodium 0,5 UI/ml
37°C
10 Valanda
Nenurodyta 4180
Bandymo lygis B
Polivinilchloridas Dianéal® PD2 2.5% glucose (Baxter) 0,5/0,0625 mg/ml
Įpurškimas   Piperacillin sodium / tazobactam   
Įpurškimas   Heparin sodium 0,5 UI/ml
4°C
168 Valanda
Nenurodyta 4180
Bandymo lygis B
Polivinilchloridas Extraneal® (Baxter) 0,5/0,0625 mg/ml
Įpurškimas   Piperacillin sodium / tazobactam   
Įpurškimas   Heparin sodium 0,5 UI/ml
37°C
10 Valanda
Nenurodyta 4180
Bandymo lygis B
Polivinilchloridas Extraneal® (Baxter) 0,5/0,0625 mg/ml
Įpurškimas   Piperacillin sodium / tazobactam   
Įpurškimas   Heparin sodium 0,5 UI/ml
4°C
168 Valanda
Nenurodyta 4180
Bandymo lygis B
Polivinilchloridas Physionéal® 1.36 (Baxter) 1,38/0,172 mg/ml
Įpurškimas   Piperacillin sodium / tazobactam   
Įpurškimas   Heparin sodium 1,4 UI/ml
37°C
10 Valanda
Nenurodyta 4180
Bandymo lygis B
Polivinilchloridas Physionéal® 1.36 (Baxter) 1,38/0,172 mg/ml
Įpurškimas   Piperacillin sodium / tazobactam   
Įpurškimas   Heparin sodium 1,4 UI/ml
4°C
168 Valanda
Nenurodyta 4180
Bandymo lygis B
Polivinilchloridas Physionéal® 2.27 (Baxter) 1,38/0,172 mg/ml
Įpurškimas   Piperacillin sodium / tazobactam   
Įpurškimas   Heparin sodium 1,4 UI/ml
37°C
10 Valanda
Nenurodyta 4180
Bandymo lygis B
Polivinilchloridas Physionéal® 2.27 (Baxter) 1,38/0,172 mg/ml
Įpurškimas   Piperacillin sodium / tazobactam   
Įpurškimas   Heparin sodium 1,4 UI/ml
4°C
168 Valanda
Nenurodyta 4180
Bandymo lygis B
Polivinilchloridas Physionéal® 3.86 (Baxter) 1,38/0,172 mg/ml
Įpurškimas   Piperacillin sodium / tazobactam   
Įpurškimas   Heparin sodium 1,4 UI/ml
37°C
10 Valanda
Nenurodyta 4180
Bandymo lygis B
Polivinilchloridas Physionéal® 3.86 (Baxter) 1,38/0,172 mg/ml
Įpurškimas   Piperacillin sodium / tazobactam   
Įpurškimas   Heparin sodium 1,4 UI/ml
4°C
168 Valanda
Nenurodyta 4180
Bandymo lygis B
Polipropilenas Natrio chloridas 0,9% 20 / 2.5 mg/ml
Įpurškimas   Piperacillin sodium / tazobactam   
Įpurškimas   Norepinephrine bitartrate 0,032 mg/ml
22-23°C
24 Valanda
Apsaugotas nuo šviesos 4758
Bandymo lygis B
Švirkštas polipropileno Vanduo injekcijoms 90/10 mg/ml
Įpurškimas   Piperacillin sodium / tazobactam   
Įpurškimas   Paracetamol 10 mg/ml
25°C
4 Valanda
Nenurodyta 3571
Bandymo lygis A+

  Mentions Légales