Zadnji put ažurirano :
27/04/2026
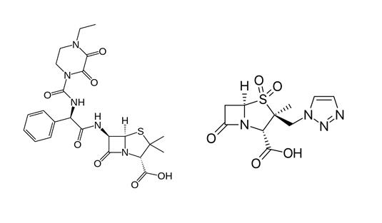
antibiotik   Piperacillin sodium / tazobactam  
injekcija
Stabilizacija rješenja Stabilnost mješavine Stabilizacijski faktor Kompatibilnosti način davanja lijeka Bibliografija pdf
   Kemijska struktura  

Nekomercijalni   Nekomercijalni     

Zaštićeni nazivi su indikativni i sastav ekscipijensa može biti različit ovisno o državi i laboratorijima

Bagotaz Argentina
Betampil Ekvador
Bioval Čile
Petezam Argentina
Piperac Njemačka
Piperacillin tazobactam Belgija, Kanada, Njemačka
Piperazam Brazil
Pipetazo Čile
Pipitaz Austrija
Pixamol Kolumbija
Tazobac Ekvador, Italija, Portugal, Švicarska
Tazocel Španjolska
Tazocilline Francuska
Tazocin Argentina, Australija, Brazil, Danska, Egipat, Finska, Grčka, Hrvatska, Italija, Južna Afrika, Kolumbija, Luksemburg, Madžarska, Meksiko, Nizozemska, Norveška, novi Zeland, Peru, Poljska, Sjeverna Irska, Švedska, Turska, Ujedinjeni Arapski Emirati, Velika Britanija
Tazonam Austrija, Čile
Tazopip Australija
Tazpen Kolumbija, Meksiko
Tazrobida Kolumbija
Tigux Čile
Tratac Čile
Trital Ekvador
Zosyn Japan, S A D
Stabilnost mješavine   injekcija   Stabilnost mješavine : Piperacillin sodium / tazobactam     
Kontejner sredstvo za rastapanje koncentracija molekula temperatura Konzerviranje Trajanje stabilnosti Bibliografija
čaša natrijumkorid 0,9% 80/10 mg/ml
injekcija   Piperacillin sodium / tazobactam   
injekcija   Ranitidine hydrochloride 0,5 & 2 mg/ml
23°C
4 sat
svjetlost 235
Razina dokaza B
čaša natrijumkorid 0,9% 20/2,5 >> 40/5 mg/ml
injekcija   Piperacillin sodium / tazobactam   
injekcija   Ondansetron hydrochloride 0,015 >> 0,15 mg/ml
23°C
4 sat
svjetlost 16
polivinilklorid Dianéal® PD1 1.5% glukoza (Baxter) 0,5/0,0625 mg/ml
injekcija   Piperacillin sodium / tazobactam   
injekcija   Heparin sodium 0,5 UI/ml
37°C
10 sat
nespecifičan 4180
Razina dokaza B
polivinilklorid Dianéal® PD1 1.5% glukoza (Baxter) 0,5/0,0625 mg/ml
injekcija   Piperacillin sodium / tazobactam   
injekcija   Heparin sodium 0,5 UI/ml
4°C
168 sat
nespecifičan 4180
Razina dokaza B
polivinilklorid Dianéal® PD2 4.25% glukoza (Baxter) 0,5/0,0625 mg/ml
injekcija   Piperacillin sodium / tazobactam   
injekcija   Heparin sodium 0,5 UI/ml
37°C
10 sat
nespecifičan 4180
Razina dokaza B
polivinilklorid Dianéal® PD2 4.25% glukoza (Baxter) 0,5/0,0625 mg/ml
injekcija   Piperacillin sodium / tazobactam   
injekcija   Heparin sodium 0,5 UI/ml
4°C
168 sat
nespecifičan 4180
Razina dokaza B
polivinilklorid Dianéal® PD2 2.5% glucose (Baxter) 0,5/0,0625 mg/ml
injekcija   Piperacillin sodium / tazobactam   
injekcija   Heparin sodium 0,5 UI/ml
37°C
10 sat
nespecifičan 4180
Razina dokaza B
polivinilklorid Dianéal® PD2 2.5% glucose (Baxter) 0,5/0,0625 mg/ml
injekcija   Piperacillin sodium / tazobactam   
injekcija   Heparin sodium 0,5 UI/ml
4°C
168 sat
nespecifičan 4180
Razina dokaza B
polivinilklorid Extraneal® (Baxter) 0,5/0,0625 mg/ml
injekcija   Piperacillin sodium / tazobactam   
injekcija   Heparin sodium 0,5 UI/ml
37°C
10 sat
nespecifičan 4180
Razina dokaza B
polivinilklorid Extraneal® (Baxter) 0,5/0,0625 mg/ml
injekcija   Piperacillin sodium / tazobactam   
injekcija   Heparin sodium 0,5 UI/ml
4°C
168 sat
nespecifičan 4180
Razina dokaza B
polivinilklorid Physionéal® 1.36 (Baxter) 1,38/0,172 mg/ml
injekcija   Piperacillin sodium / tazobactam   
injekcija   Heparin sodium 1,4 UI/ml
37°C
10 sat
nespecifičan 4180
Razina dokaza B
polivinilklorid Physionéal® 1.36 (Baxter) 1,38/0,172 mg/ml
injekcija   Piperacillin sodium / tazobactam   
injekcija   Heparin sodium 1,4 UI/ml
4°C
168 sat
nespecifičan 4180
Razina dokaza B
polivinilklorid Physionéal® 2.27 (Baxter) 1,38/0,172 mg/ml
injekcija   Piperacillin sodium / tazobactam   
injekcija   Heparin sodium 1,4 UI/ml
37°C
10 sat
nespecifičan 4180
Razina dokaza B
polivinilklorid Physionéal® 2.27 (Baxter) 1,38/0,172 mg/ml
injekcija   Piperacillin sodium / tazobactam   
injekcija   Heparin sodium 1,4 UI/ml
4°C
168 sat
nespecifičan 4180
Razina dokaza B
polivinilklorid Physionéal® 3.86 (Baxter) 1,38/0,172 mg/ml
injekcija   Piperacillin sodium / tazobactam   
injekcija   Heparin sodium 1,4 UI/ml
37°C
10 sat
nespecifičan 4180
Razina dokaza B
polivinilklorid Physionéal® 3.86 (Baxter) 1,38/0,172 mg/ml
injekcija   Piperacillin sodium / tazobactam   
injekcija   Heparin sodium 1,4 UI/ml
4°C
168 sat
nespecifičan 4180
Razina dokaza B
polipropilen natrijumkorid 0,9% 20 / 2.5 mg/ml
injekcija   Piperacillin sodium / tazobactam   
injekcija   Norepinephrine bitartrate 0,032 mg/ml
22-23°C
24 sat
Zaštićeno od svjetlosti 4758
Razina dokaza B
špric polipropilen čista voda za injektiranje 90/10 mg/ml
injekcija   Piperacillin sodium / tazobactam   
injekcija   Paracetamol 10 mg/ml
25°C
4 sat
nespecifičan 3571
Razina dokaza A+

  Mentions Légales