Viimeisin päivitys :
27/11/2025
Antibiootit   Piperacillin sodium / tazobactam  
Injektioneste
Stabilius liuoksessa Stabilius seoksissa Tekijät, jotka vaikuttavat stabiliuteen Yhteensopivuus Antotapa Viitteet pdf
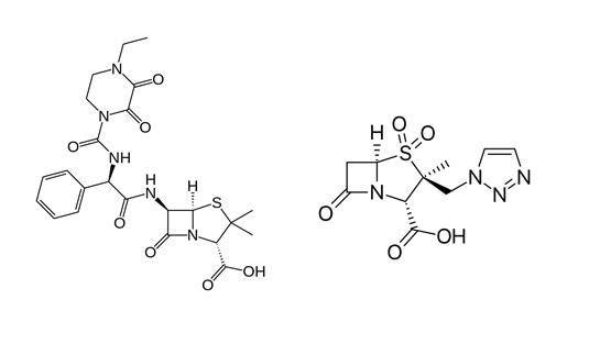
   Kemiallinen rakenne  

Kauppanimi   Kauppanimi     

Trade names are indicative and excipients composition can be different depending on the country and manufacturers

Bagotaz Argentiina
Betampil Ecuador
Bioval Chile
Petezam Argentiina
Piperac Saksa
Piperacillin tazobactam Belgia, Kanada, Saksa
Piperazam Brasilia
Pipetazo Chile
Pipitaz Itävalta
Pixamol Kolumbia
Tazobac Ecuador, Italia, Portugali, Sveitsi
Tazocel Espanja
Tazocilline Ranska
Tazocin Argentiina, Australia, Brasilia, Egypti, Etelä-Afrikka, Hollanti, Iso-Britannia, Italia, Kolumbia, Kreikka, Kroatia, Luxemburg, Marokko, Meksiko, New Zealand, Norja, Pohjois-Irlanti, Puola, Ruotsi, Suomi, Tanska, Turkki, Unkari, Yhdistyneet arabiemiirikunnat
Tazonam Chile, Itävalta
Tazopip Australia
Tazpen Kolumbia, Meksiko
Tazrobida Kolumbia
Tigux Chile
Tratac Chile
Trital Ecuador
Zosyn Japani, Yhdysvallat
Stabilius seoksissa   Injektioneste   Stabilius seoksissa : Piperacillin sodium / tazobactam     
Astia Liuotin Konsentraatio Yhdiste Lämpötila Säilytys Vakauden kesto Viitteet
Lasi Natriumkloridi 0,9% 80/10 mg/ml
Injektioneste   Piperacillin sodium / tazobactam   
Injektioneste   Ranitidine hydrochloride 0,5 & 2 mg/ml
23°C
4 tunti
Valo 235
Näytön laajuus B
Lasi Natriumkloridi 0,9% 20/2,5 >> 40/5 mg/ml
Injektioneste   Piperacillin sodium / tazobactam   
Injektioneste   Ondansetron hydrochloride 0,015 >> 0,15 mg/ml
23°C
4 tunti
Valo 16
Polyvinyylikloridi Dianéal® PD1 1.5% Glukoosi (Baxter) 0,5/0,0625 mg/ml
Injektioneste   Piperacillin sodium / tazobactam   
Injektioneste   Heparin sodium 0,5 UI/ml
37°C
10 tunti
Ei määritetty 4180
Näytön laajuus B
Polyvinyylikloridi Dianéal® PD1 1.5% Glukoosi (Baxter) 0,5/0,0625 mg/ml
Injektioneste   Piperacillin sodium / tazobactam   
Injektioneste   Heparin sodium 0,5 UI/ml
4°C
168 tunti
Ei määritetty 4180
Näytön laajuus B
Polyvinyylikloridi Dianéal® PD2 4.25% Glukoosi (Baxter) 0,5/0,0625 mg/ml
Injektioneste   Piperacillin sodium / tazobactam   
Injektioneste   Heparin sodium 0,5 UI/ml
37°C
10 tunti
Ei määritetty 4180
Näytön laajuus B
Polyvinyylikloridi Dianéal® PD2 4.25% Glukoosi (Baxter) 0,5/0,0625 mg/ml
Injektioneste   Piperacillin sodium / tazobactam   
Injektioneste   Heparin sodium 0,5 UI/ml
4°C
168 tunti
Ei määritetty 4180
Näytön laajuus B
Polyvinyylikloridi Dianéal® PD2 2.5% glucose (Baxter) 0,5/0,0625 mg/ml
Injektioneste   Piperacillin sodium / tazobactam   
Injektioneste   Heparin sodium 0,5 UI/ml
37°C
10 tunti
Ei määritetty 4180
Näytön laajuus B
Polyvinyylikloridi Dianéal® PD2 2.5% glucose (Baxter) 0,5/0,0625 mg/ml
Injektioneste   Piperacillin sodium / tazobactam   
Injektioneste   Heparin sodium 0,5 UI/ml
4°C
168 tunti
Ei määritetty 4180
Näytön laajuus B
Polyvinyylikloridi Extraneal® (Baxter) 0,5/0,0625 mg/ml
Injektioneste   Piperacillin sodium / tazobactam   
Injektioneste   Heparin sodium 0,5 UI/ml
37°C
10 tunti
Ei määritetty 4180
Näytön laajuus B
Polyvinyylikloridi Extraneal® (Baxter) 0,5/0,0625 mg/ml
Injektioneste   Piperacillin sodium / tazobactam   
Injektioneste   Heparin sodium 0,5 UI/ml
4°C
168 tunti
Ei määritetty 4180
Näytön laajuus B
Polyvinyylikloridi Physionéal® 1.36 (Baxter) 1,38/0,172 mg/ml
Injektioneste   Piperacillin sodium / tazobactam   
Injektioneste   Heparin sodium 1,4 UI/ml
37°C
10 tunti
Ei määritetty 4180
Näytön laajuus B
Polyvinyylikloridi Physionéal® 1.36 (Baxter) 1,38/0,172 mg/ml
Injektioneste   Piperacillin sodium / tazobactam   
Injektioneste   Heparin sodium 1,4 UI/ml
4°C
168 tunti
Ei määritetty 4180
Näytön laajuus B
Polyvinyylikloridi Physionéal® 2.27 (Baxter) 1,38/0,172 mg/ml
Injektioneste   Piperacillin sodium / tazobactam   
Injektioneste   Heparin sodium 1,4 UI/ml
37°C
10 tunti
Ei määritetty 4180
Näytön laajuus B
Polyvinyylikloridi Physionéal® 2.27 (Baxter) 1,38/0,172 mg/ml
Injektioneste   Piperacillin sodium / tazobactam   
Injektioneste   Heparin sodium 1,4 UI/ml
4°C
168 tunti
Ei määritetty 4180
Näytön laajuus B
Polyvinyylikloridi Physionéal® 3.86 (Baxter) 1,38/0,172 mg/ml
Injektioneste   Piperacillin sodium / tazobactam   
Injektioneste   Heparin sodium 1,4 UI/ml
37°C
10 tunti
Ei määritetty 4180
Näytön laajuus B
Polyvinyylikloridi Physionéal® 3.86 (Baxter) 1,38/0,172 mg/ml
Injektioneste   Piperacillin sodium / tazobactam   
Injektioneste   Heparin sodium 1,4 UI/ml
4°C
168 tunti
Ei määritetty 4180
Näytön laajuus B
Polypropyleeni Natriumkloridi 0,9% 20 / 2.5 mg/ml
Injektioneste   Piperacillin sodium / tazobactam   
Injektioneste   Norepinephrine bitartrate 0,032 mg/ml
22-23°C
24 tunti
Suojattava valolta 4758
Näytön laajuus B
Ruisku  polypropeeni Injektionesteisiin käytettävä vesi 90/10 mg/ml
Injektioneste   Piperacillin sodium / tazobactam   
Injektioneste   Paracetamol 10 mg/ml
25°C
4 tunti
Ei määritetty 3571
Näytön laajuus A+

  Mentions Légales