Letztes “update” :
27/01/2026
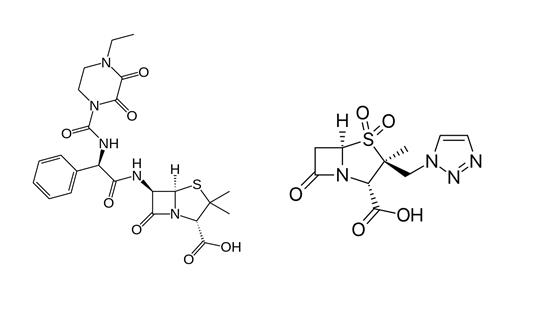
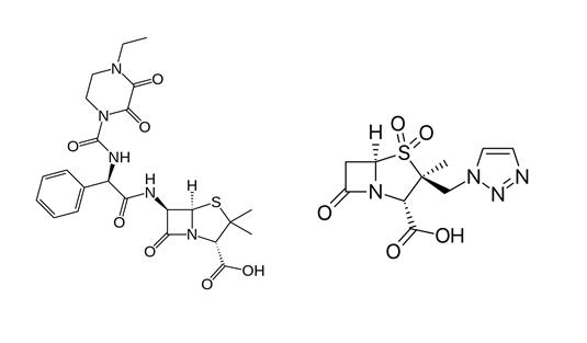
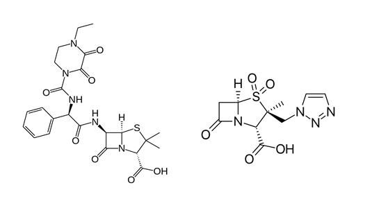
Antibiotikum   Piperacillin sodium / tazobactam  
Injektion
Stabilität der Lösung Gemengestabilität Stabilitätbeeinflussende Faktoren Kompatibilitäten Applikationsart Literaturverzeichnis pdf
   Chemische Struktur  

Handelsmarke   Handelsmarke     

Handelsnamen sind als beispielhaft anzusehen. Sonstige Bestandteile können je nach Hersteller oder Land verschieden sein

Bagotaz Argentinien
Betampil Ecuador
Bioval Chile
Petezam Argentinien
Piperac Deutschland
Piperacillin tazobactam Belgien, Deutschland, Kanada
Piperazam Brasilien
Pipetazo Chile
Pipitaz Österreich
Pixamol Kolumbien
Tazobac Ecuador, Italien, Portugal, Schweiz
Tazocel Spanien
Tazocilline Frankreich
Tazocin Ägypten, Argentinien, Australien, Brasilien, Dänemark, Finnland, Griechenland, Großbritannien, Italien, Kolumbien, Kroatien, Luxemburg, Mexiko, Neuseeland, Niederlande, Nordirland, Norwegen, Peru, Polen, Schweden, Südafrika, Türkei, Ungarn, Vereinigte Arabische Emirate
Tazonam Chile, Österreich
Tazopip Australien
Tazpen Kolumbien, Mexiko
Tazrobida Kolumbien
Tigux Chile
Tratac Chile
Trital Ecuador
Zosyn Japan, Vereinigte Staaten von Amerika
Gemengestabilität   Injektion   Gemengestabilität : Piperacillin sodium / tazobactam     
Behälter Lösungsmittel Konzentration Molekül Temperatur Konservierung Dauer der Stabilität Literaturverzeichnis
Glas 0,9% Natriumchlorid 80/10 mg/ml
Injektion   Piperacillin sodium / tazobactam   
Injektion   Ranitidine hydrochloride 0,5 & 2 mg/ml
23°C
4 Stunde
Licht 235
Evidenzgrad B
Glas 0,9% Natriumchlorid 20/2,5 >> 40/5 mg/ml
Injektion   Piperacillin sodium / tazobactam   
Injektion   Ondansetron hydrochloride 0,015 >> 0,15 mg/ml
23°C
4 Stunde
Licht 16
Polyvinylchlorid Dianéal® PD1 1.5% glucose (Baxter) 0,5/0,0625 mg/ml
Injektion   Piperacillin sodium / tazobactam   
Injektion   Heparin sodium 0,5 UI/ml
37°C
10 Stunde
Nicht genau angegeben 4180
Evidenzgrad B
Polyvinylchlorid Dianéal® PD1 1.5% glucose (Baxter) 0,5/0,0625 mg/ml
Injektion   Piperacillin sodium / tazobactam   
Injektion   Heparin sodium 0,5 UI/ml
4°C
168 Stunde
Nicht genau angegeben 4180
Evidenzgrad B
Polyvinylchlorid Dianéal® PD2 4.25% glucose (Baxter) 0,5/0,0625 mg/ml
Injektion   Piperacillin sodium / tazobactam   
Injektion   Heparin sodium 0,5 UI/ml
37°C
10 Stunde
Nicht genau angegeben 4180
Evidenzgrad B
Polyvinylchlorid Dianéal® PD2 4.25% glucose (Baxter) 0,5/0,0625 mg/ml
Injektion   Piperacillin sodium / tazobactam   
Injektion   Heparin sodium 0,5 UI/ml
4°C
168 Stunde
Nicht genau angegeben 4180
Evidenzgrad B
Polyvinylchlorid Dianéal® PD2 2.5% glucose (Baxter) 0,5/0,0625 mg/ml
Injektion   Piperacillin sodium / tazobactam   
Injektion   Heparin sodium 0,5 UI/ml
37°C
10 Stunde
Nicht genau angegeben 4180
Evidenzgrad B
Polyvinylchlorid Dianéal® PD2 2.5% glucose (Baxter) 0,5/0,0625 mg/ml
Injektion   Piperacillin sodium / tazobactam   
Injektion   Heparin sodium 0,5 UI/ml
4°C
168 Stunde
Nicht genau angegeben 4180
Evidenzgrad B
Polyvinylchlorid Extraneal® (Baxter) 0,5/0,0625 mg/ml
Injektion   Piperacillin sodium / tazobactam   
Injektion   Heparin sodium 0,5 UI/ml
37°C
10 Stunde
Nicht genau angegeben 4180
Evidenzgrad B
Polyvinylchlorid Extraneal® (Baxter) 0,5/0,0625 mg/ml
Injektion   Piperacillin sodium / tazobactam   
Injektion   Heparin sodium 0,5 UI/ml
4°C
168 Stunde
Nicht genau angegeben 4180
Evidenzgrad B
Polyvinylchlorid Physionéal® 1.36 (Baxter) 1,38/0,172 mg/ml
Injektion   Piperacillin sodium / tazobactam   
Injektion   Heparin sodium 1,4 UI/ml
37°C
10 Stunde
Nicht genau angegeben 4180
Evidenzgrad B
Polyvinylchlorid Physionéal® 1.36 (Baxter) 1,38/0,172 mg/ml
Injektion   Piperacillin sodium / tazobactam   
Injektion   Heparin sodium 1,4 UI/ml
4°C
168 Stunde
Nicht genau angegeben 4180
Evidenzgrad B
Polyvinylchlorid Physionéal® 2.27 (Baxter) 1,38/0,172 mg/ml
Injektion   Piperacillin sodium / tazobactam   
Injektion   Heparin sodium 1,4 UI/ml
37°C
10 Stunde
Nicht genau angegeben 4180
Evidenzgrad B
Polyvinylchlorid Physionéal® 2.27 (Baxter) 1,38/0,172 mg/ml
Injektion   Piperacillin sodium / tazobactam   
Injektion   Heparin sodium 1,4 UI/ml
4°C
168 Stunde
Nicht genau angegeben 4180
Evidenzgrad B
Polyvinylchlorid Physionéal® 3.86 (Baxter) 1,38/0,172 mg/ml
Injektion   Piperacillin sodium / tazobactam   
Injektion   Heparin sodium 1,4 UI/ml
37°C
10 Stunde
Nicht genau angegeben 4180
Evidenzgrad B
Polyvinylchlorid Physionéal® 3.86 (Baxter) 1,38/0,172 mg/ml
Injektion   Piperacillin sodium / tazobactam   
Injektion   Heparin sodium 1,4 UI/ml
4°C
168 Stunde
Nicht genau angegeben 4180
Evidenzgrad B
Polypropylen 0,9% Natriumchlorid 20 / 2.5 mg/ml
Injektion   Piperacillin sodium / tazobactam   
Injektion   Norepinephrine bitartrate 0,032 mg/ml
22-23°C
24 Stunde
Ohne Licht 4758
Evidenzgrad B
 Spritze Polypropylen Wasser für injektable präparate 90/10 mg/ml
Injektion   Piperacillin sodium / tazobactam   
Injektion   Paracetamol 10 mg/ml
25°C
4 Stunde
Nicht genau angegeben 3571
Evidenzgrad A+

  Mentions Légales