Последнее обновление :
27/04/2026
Антибиотик   Piperacillin sodium / tazobactam  
Инъекция
Стабильность растворов Стабильность смесей Факторы, которые влияют на стабильность Совместимость Способы введения Библиография pdf
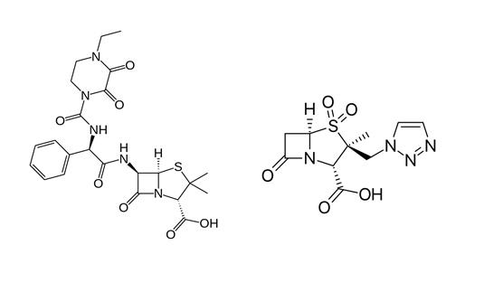
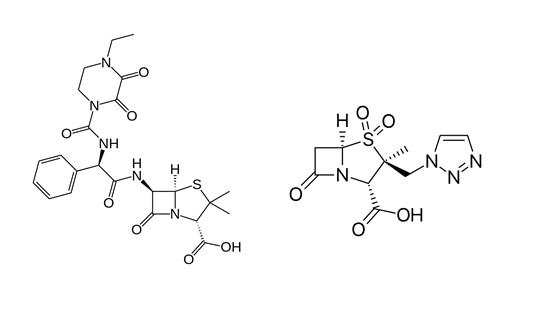
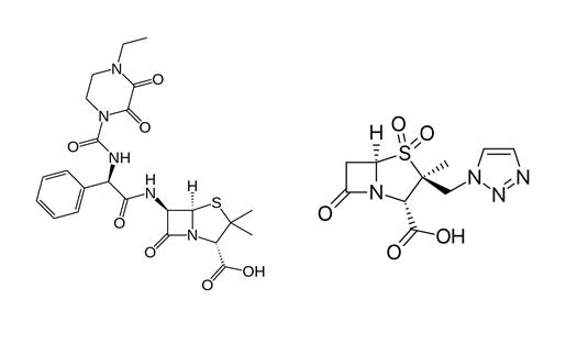
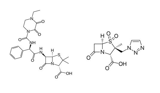
   Химическая структура  

Товарное название   Товарное название     

Trade names are indicative and excipients composition can be different depending on the country and manufacturers

Bagotaz Аргентина
Betampil Эквадор
Bioval чили
Petezam Аргентина
Piperac Германия
Piperacillin tazobactam Бельгия, Германия, Канада
Piperazam Бразилия
Pipetazo чили
Pipitaz Австрия
Pixamol Колумбия
Tazobac Италия, Португалия, Швейцария, Эквадор
Tazocel Испания
Tazocilline Франция
Tazocin Австралия, Аргентина, Бразилия, Великобритания, Венгрия, Голландия, Греция, Дания, Египет, Италия, Колумбия, Люксембург, Мексика, новая Зеландия, Норвегия, Объединенные Арабские Эмираты, Перу, Польша, Северной Ирландии, Турция, Финляндия, Хорватия, Швеция, Южно-Африканская Республика
Tazonam Австрия, чили
Tazopip Австралия
Tazpen Колумбия, Мексика
Tazrobida Колумбия
Tigux чили
Tratac чили
Trital Эквадор
Zosyn Соединённые Штаты Америки, Япония
Стабильность смесей   Инъекция   Стабильность смесей : Piperacillin sodium / tazobactam     
Упаковка Растворитель Концентрация Молекула Температура Хранение Продолжительность стабильности Ссылки
Стекло Натрия хлорид 0,9% 80/10 mg/ml
Инъекция   Piperacillin sodium / tazobactam   
Инъекция   Ranitidine hydrochloride 0,5 & 2 mg/ml
23°C
4 Час
Свет 235
Уровень доказательности B
Стекло Натрия хлорид 0,9% 20/2,5 >> 40/5 mg/ml
Инъекция   Piperacillin sodium / tazobactam   
Инъекция   Ondansetron hydrochloride 0,015 >> 0,15 mg/ml
23°C
4 Час
Свет 16
Поливинилхлорид Dianéal® PD1 1.5% Глюкоза (Baxter) 0,5/0,0625 mg/ml
Инъекция   Piperacillin sodium / tazobactam   
Инъекция   Heparin sodium 0,5 UI/ml
37°C
10 Час
Не указано 4180
Уровень доказательности B
Поливинилхлорид Dianéal® PD1 1.5% Глюкоза (Baxter) 0,5/0,0625 mg/ml
Инъекция   Piperacillin sodium / tazobactam   
Инъекция   Heparin sodium 0,5 UI/ml
4°C
168 Час
Не указано 4180
Уровень доказательности B
Поливинилхлорид Dianéal® PD2 4.25% Глюкоза (Baxter) 0,5/0,0625 mg/ml
Инъекция   Piperacillin sodium / tazobactam   
Инъекция   Heparin sodium 0,5 UI/ml
37°C
10 Час
Не указано 4180
Уровень доказательности B
Поливинилхлорид Dianéal® PD2 4.25% Глюкоза (Baxter) 0,5/0,0625 mg/ml
Инъекция   Piperacillin sodium / tazobactam   
Инъекция   Heparin sodium 0,5 UI/ml
4°C
168 Час
Не указано 4180
Уровень доказательности B
Поливинилхлорид Dianéal® PD2 2.5% glucose (Baxter) 0,5/0,0625 mg/ml
Инъекция   Piperacillin sodium / tazobactam   
Инъекция   Heparin sodium 0,5 UI/ml
37°C
10 Час
Не указано 4180
Уровень доказательности B
Поливинилхлорид Dianéal® PD2 2.5% glucose (Baxter) 0,5/0,0625 mg/ml
Инъекция   Piperacillin sodium / tazobactam   
Инъекция   Heparin sodium 0,5 UI/ml
4°C
168 Час
Не указано 4180
Уровень доказательности B
Поливинилхлорид Extraneal® (Baxter) 0,5/0,0625 mg/ml
Инъекция   Piperacillin sodium / tazobactam   
Инъекция   Heparin sodium 0,5 UI/ml
37°C
10 Час
Не указано 4180
Уровень доказательности B
Поливинилхлорид Extraneal® (Baxter) 0,5/0,0625 mg/ml
Инъекция   Piperacillin sodium / tazobactam   
Инъекция   Heparin sodium 0,5 UI/ml
4°C
168 Час
Не указано 4180
Уровень доказательности B
Поливинилхлорид Physionéal® 1.36 (Baxter) 1,38/0,172 mg/ml
Инъекция   Piperacillin sodium / tazobactam   
Инъекция   Heparin sodium 1,4 UI/ml
37°C
10 Час
Не указано 4180
Уровень доказательности B
Поливинилхлорид Physionéal® 1.36 (Baxter) 1,38/0,172 mg/ml
Инъекция   Piperacillin sodium / tazobactam   
Инъекция   Heparin sodium 1,4 UI/ml
4°C
168 Час
Не указано 4180
Уровень доказательности B
Поливинилхлорид Physionéal® 2.27 (Baxter) 1,38/0,172 mg/ml
Инъекция   Piperacillin sodium / tazobactam   
Инъекция   Heparin sodium 1,4 UI/ml
37°C
10 Час
Не указано 4180
Уровень доказательности B
Поливинилхлорид Physionéal® 2.27 (Baxter) 1,38/0,172 mg/ml
Инъекция   Piperacillin sodium / tazobactam   
Инъекция   Heparin sodium 1,4 UI/ml
4°C
168 Час
Не указано 4180
Уровень доказательности B
Поливинилхлорид Physionéal® 3.86 (Baxter) 1,38/0,172 mg/ml
Инъекция   Piperacillin sodium / tazobactam   
Инъекция   Heparin sodium 1,4 UI/ml
37°C
10 Час
Не указано 4180
Уровень доказательности B
Поливинилхлорид Physionéal® 3.86 (Baxter) 1,38/0,172 mg/ml
Инъекция   Piperacillin sodium / tazobactam   
Инъекция   Heparin sodium 1,4 UI/ml
4°C
168 Час
Не указано 4180
Уровень доказательности B
Полипропилен Натрия хлорид 0,9% 20 / 2.5 mg/ml
Инъекция   Piperacillin sodium / tazobactam   
Инъекция   Norepinephrine bitartrate 0,032 mg/ml
22-23°C
24 Час
Защищён от света 4758
Уровень доказательности B
Шприц полипропилен Вода для инъекций 90/10 mg/ml
Инъекция   Piperacillin sodium / tazobactam   
Инъекция   Paracetamol 10 mg/ml
25°C
4 Час
Не указано 3571
Уровень доказательности A +

  Mentions Légales