最新更新 :
27/04/2026
抗菌薬   Piperacillin sodium / tazobactam  
注射薬
溶媒内の安定性 混合時の安定性 安定性に影響する因子 互換性 投与経路 引用文献 PDF
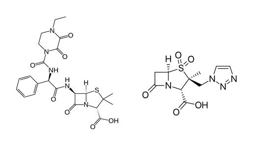
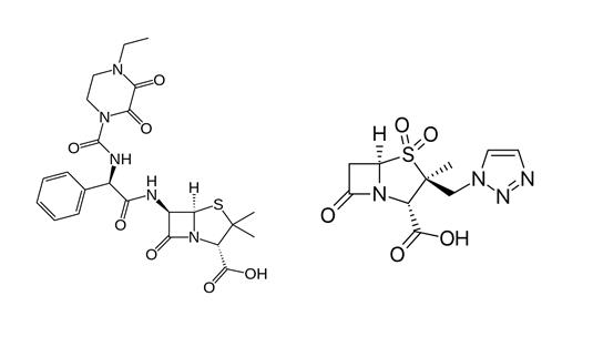
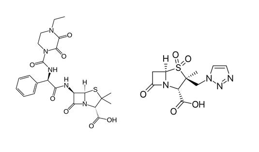
   化学構造  

商品名   商品名     

商品名、賦形剤は国、製薬会社ごとに異なることがあります

Bagotaz アルゼンチン
Betampil エクアドル
Bioval チリ
Petezam アルゼンチン
Piperac ドイツ
Piperacillin tazobactam カナダ, ドイツ, ベルギー
Piperazam ブラジル
Pipetazo チリ
Pipitaz オーストリア
Pixamol コロンビア
Tazobac イタリア, エクアドル, スイス, ポルトガル
Tazocel スペイン
Tazocilline フランス
Tazocin アラブ首長国連邦, アルゼンチン, アーストラリア, イギリス, イタリア, エジプト, オランダ, ギリシア, クロアチア, コロンビア, スウェーデン, デンマーク, トルコ, ニュージーランド, ノルウェー, ハンガリー, フィンランド, ブラジル, ペルー, ポーランド, メキシコ, ルクセンブルグ, 北アイルランド, 南アフリカ共和国
Tazonam オーストリア, チリ
Tazopip アーストラリア
Tazpen コロンビア, メキシコ
Tazrobida コロンビア
Tigux チリ
Tratac チリ
Trital エクアドル
Zosyn アメリカ, 日本
混合時の安定性   注射薬   混合時の安定性 : Piperacillin sodium / tazobactam     
容器 溶媒 濃度 化合物 温度 保管 安定期間 引用文献
ガラス NaCl 0,9% 80/10 mg/ml
注射薬   Piperacillin sodium / tazobactam   
注射薬   Ranitidine hydrochloride 0,5 & 2 mg/ml
23°C
4 時間
光 235
エビデンスレベル B
ガラス NaCl 0,9% 20/2,5 >> 40/5 mg/ml
注射薬   Piperacillin sodium / tazobactam   
注射薬   Ondansetron hydrochloride 0,015 >> 0,15 mg/ml
23°C
4 時間
光 16
ポリ塩化ビニル(PVC) Dianéal® PD1 1.5% glucose (Baxter) 0,5/0,0625 mg/ml
注射薬   Piperacillin sodium / tazobactam   
注射薬   Heparin sodium 0,5 UI/ml
37°C
10 時間
特記なし 4180
エビデンスレベル B
ポリ塩化ビニル(PVC) Dianéal® PD1 1.5% glucose (Baxter) 0,5/0,0625 mg/ml
注射薬   Piperacillin sodium / tazobactam   
注射薬   Heparin sodium 0,5 UI/ml
4°C
168 時間
特記なし 4180
エビデンスレベル B
ポリ塩化ビニル(PVC) Dianéal® PD2 4.25% glucose (Baxter) 0,5/0,0625 mg/ml
注射薬   Piperacillin sodium / tazobactam   
注射薬   Heparin sodium 0,5 UI/ml
37°C
10 時間
特記なし 4180
エビデンスレベル B
ポリ塩化ビニル(PVC) Dianéal® PD2 4.25% glucose (Baxter) 0,5/0,0625 mg/ml
注射薬   Piperacillin sodium / tazobactam   
注射薬   Heparin sodium 0,5 UI/ml
4°C
168 時間
特記なし 4180
エビデンスレベル B
ポリ塩化ビニル(PVC) Dianéal® PD2 2.5% glucose (Baxter) 0,5/0,0625 mg/ml
注射薬   Piperacillin sodium / tazobactam   
注射薬   Heparin sodium 0,5 UI/ml
37°C
10 時間
特記なし 4180
エビデンスレベル B
ポリ塩化ビニル(PVC) Dianéal® PD2 2.5% glucose (Baxter) 0,5/0,0625 mg/ml
注射薬   Piperacillin sodium / tazobactam   
注射薬   Heparin sodium 0,5 UI/ml
4°C
168 時間
特記なし 4180
エビデンスレベル B
ポリ塩化ビニル(PVC) Extraneal® (Baxter) 0,5/0,0625 mg/ml
注射薬   Piperacillin sodium / tazobactam   
注射薬   Heparin sodium 0,5 UI/ml
37°C
10 時間
特記なし 4180
エビデンスレベル B
ポリ塩化ビニル(PVC) Extraneal® (Baxter) 0,5/0,0625 mg/ml
注射薬   Piperacillin sodium / tazobactam   
注射薬   Heparin sodium 0,5 UI/ml
4°C
168 時間
特記なし 4180
エビデンスレベル B
ポリ塩化ビニル(PVC) Physionéal® 1.36 (Baxter) 1,38/0,172 mg/ml
注射薬   Piperacillin sodium / tazobactam   
注射薬   Heparin sodium 1,4 UI/ml
37°C
10 時間
特記なし 4180
エビデンスレベル B
ポリ塩化ビニル(PVC) Physionéal® 1.36 (Baxter) 1,38/0,172 mg/ml
注射薬   Piperacillin sodium / tazobactam   
注射薬   Heparin sodium 1,4 UI/ml
4°C
168 時間
特記なし 4180
エビデンスレベル B
ポリ塩化ビニル(PVC) Physionéal® 2.27 (Baxter) 1,38/0,172 mg/ml
注射薬   Piperacillin sodium / tazobactam   
注射薬   Heparin sodium 1,4 UI/ml
37°C
10 時間
特記なし 4180
エビデンスレベル B
ポリ塩化ビニル(PVC) Physionéal® 2.27 (Baxter) 1,38/0,172 mg/ml
注射薬   Piperacillin sodium / tazobactam   
注射薬   Heparin sodium 1,4 UI/ml
4°C
168 時間
特記なし 4180
エビデンスレベル B
ポリ塩化ビニル(PVC) Physionéal® 3.86 (Baxter) 1,38/0,172 mg/ml
注射薬   Piperacillin sodium / tazobactam   
注射薬   Heparin sodium 1,4 UI/ml
37°C
10 時間
特記なし 4180
エビデンスレベル B
ポリ塩化ビニル(PVC) Physionéal® 3.86 (Baxter) 1,38/0,172 mg/ml
注射薬   Piperacillin sodium / tazobactam   
注射薬   Heparin sodium 1,4 UI/ml
4°C
168 時間
特記なし 4180
エビデンスレベル B
ポリプロピレン NaCl 0,9% 20 / 2.5 mg/ml
注射薬   Piperacillin sodium / tazobactam   
注射薬   Norepinephrine bitartrate 0,032 mg/ml
22-23°C
24 時間
遮光 4758
エビデンスレベル B
シリンジ ポリプロピレン 注射用水 90/10 mg/ml
注射薬   Piperacillin sodium / tazobactam   
注射薬   Paracetamol 10 mg/ml
25°C
4 時間
特記なし 3571
エビデンスレベル A+

  Mentions Légales