Poslední aktualizace :
27/04/2026
Antibiotikum   Piperacillin sodium / tazobactam  
injekce
Stabilita roztoků Stabilita směsí Faktory ovlivňující stabilitu Kompatibilita Způsoby aplikace Odkazy pdf
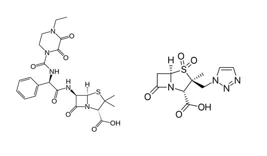
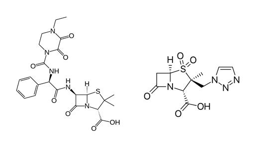
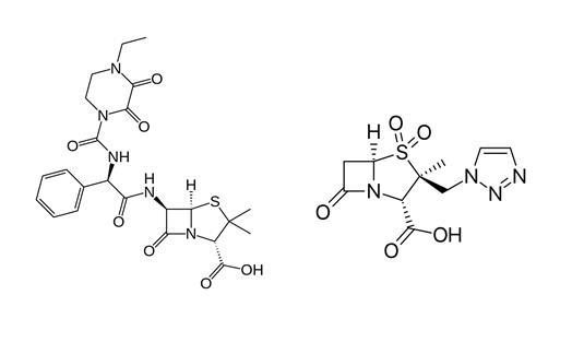
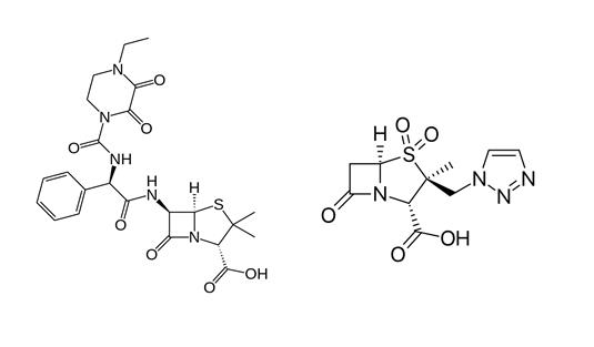
   Chemický vzorec  

Obchodní název   Obchodní název     

Trade names are indicative and excipients composition can be different depending on the country and manufacturers

Bagotaz Argentina
Betampil Ekvádor
Bioval Chile
Petezam Argentina
Piperac NÏmecko
Piperacillin tazobactam Belgie, Kanada, NÏmecko
Piperazam BrazÌlie
Pipetazo Chile
Pipitaz Rakousko
Pixamol Kolumbie
Tazobac Ekvádor, Itálie, Portugalsko, Švýcarsko
Tazocel äpanÏlsko
Tazocilline Francie
Tazocin Argentina, Austrálie, BrazÌlie, Chorvatsko, Dánsko, Egypt, Finsko, Itálie, Jihoafrická republika, Kolumbie, Lucembursko, MaÔarsko, Mexiko, Nizozemsko, Norsko, nový Zéland, Peru, Polsko, Severní Irsko, Spojené arabské emiráty, Švédsko, Turecko, Velká Británie, ÿecko
Tazonam Chile, Rakousko
Tazopip Austrálie
Tazpen Kolumbie, Mexiko
Tazrobida Kolumbie
Tigux Chile
Tratac Chile
Trital Ekvádor
Zosyn Japonsko, USA
Stabilita směsí   injekce   Stabilita směsí : Piperacillin sodium / tazobactam     
Obal RozpouötÏdlo Koncentrace SlouËenina Teplota Uchovávání Trvání stability Odkazy
Sklo Chlorid sodný 0,9% 80/10 mg/ml
injekce   Piperacillin sodium / tazobactam   
injekce   Ranitidine hydrochloride 0,5 & 2 mg/ml
23°C
4 Hodina
SvÏtlo 235
Úroveň zkoušky B
Sklo Chlorid sodný 0,9% 20/2,5 >> 40/5 mg/ml
injekce   Piperacillin sodium / tazobactam   
injekce   Ondansetron hydrochloride 0,015 >> 0,15 mg/ml
23°C
4 Hodina
SvÏtlo 16
Polyvinyl chlorid Dianéal® PD1 1.5% GlukÛza (Baxter) 0,5/0,0625 mg/ml
injekce   Piperacillin sodium / tazobactam   
injekce   Heparin sodium 0,5 UI/ml
37°C
10 Hodina
Nespecifikováno 4180
Úroveň zkoušky B
Polyvinyl chlorid Dianéal® PD1 1.5% GlukÛza (Baxter) 0,5/0,0625 mg/ml
injekce   Piperacillin sodium / tazobactam   
injekce   Heparin sodium 0,5 UI/ml
4°C
168 Hodina
Nespecifikováno 4180
Úroveň zkoušky B
Polyvinyl chlorid Dianéal® PD2 4.25% GlukÛza (Baxter) 0,5/0,0625 mg/ml
injekce   Piperacillin sodium / tazobactam   
injekce   Heparin sodium 0,5 UI/ml
37°C
10 Hodina
Nespecifikováno 4180
Úroveň zkoušky B
Polyvinyl chlorid Dianéal® PD2 4.25% GlukÛza (Baxter) 0,5/0,0625 mg/ml
injekce   Piperacillin sodium / tazobactam   
injekce   Heparin sodium 0,5 UI/ml
4°C
168 Hodina
Nespecifikováno 4180
Úroveň zkoušky B
Polyvinyl chlorid Dianéal® PD2 2.5% glucose (Baxter) 0,5/0,0625 mg/ml
injekce   Piperacillin sodium / tazobactam   
injekce   Heparin sodium 0,5 UI/ml
37°C
10 Hodina
Nespecifikováno 4180
Úroveň zkoušky B
Polyvinyl chlorid Dianéal® PD2 2.5% glucose (Baxter) 0,5/0,0625 mg/ml
injekce   Piperacillin sodium / tazobactam   
injekce   Heparin sodium 0,5 UI/ml
4°C
168 Hodina
Nespecifikováno 4180
Úroveň zkoušky B
Polyvinyl chlorid Extraneal® (Baxter) 0,5/0,0625 mg/ml
injekce   Piperacillin sodium / tazobactam   
injekce   Heparin sodium 0,5 UI/ml
37°C
10 Hodina
Nespecifikováno 4180
Úroveň zkoušky B
Polyvinyl chlorid Extraneal® (Baxter) 0,5/0,0625 mg/ml
injekce   Piperacillin sodium / tazobactam   
injekce   Heparin sodium 0,5 UI/ml
4°C
168 Hodina
Nespecifikováno 4180
Úroveň zkoušky B
Polyvinyl chlorid Physionéal® 1.36 (Baxter) 1,38/0,172 mg/ml
injekce   Piperacillin sodium / tazobactam   
injekce   Heparin sodium 1,4 UI/ml
37°C
10 Hodina
Nespecifikováno 4180
Úroveň zkoušky B
Polyvinyl chlorid Physionéal® 1.36 (Baxter) 1,38/0,172 mg/ml
injekce   Piperacillin sodium / tazobactam   
injekce   Heparin sodium 1,4 UI/ml
4°C
168 Hodina
Nespecifikováno 4180
Úroveň zkoušky B
Polyvinyl chlorid Physionéal® 2.27 (Baxter) 1,38/0,172 mg/ml
injekce   Piperacillin sodium / tazobactam   
injekce   Heparin sodium 1,4 UI/ml
37°C
10 Hodina
Nespecifikováno 4180
Úroveň zkoušky B
Polyvinyl chlorid Physionéal® 2.27 (Baxter) 1,38/0,172 mg/ml
injekce   Piperacillin sodium / tazobactam   
injekce   Heparin sodium 1,4 UI/ml
4°C
168 Hodina
Nespecifikováno 4180
Úroveň zkoušky B
Polyvinyl chlorid Physionéal® 3.86 (Baxter) 1,38/0,172 mg/ml
injekce   Piperacillin sodium / tazobactam   
injekce   Heparin sodium 1,4 UI/ml
37°C
10 Hodina
Nespecifikováno 4180
Úroveň zkoušky B
Polyvinyl chlorid Physionéal® 3.86 (Baxter) 1,38/0,172 mg/ml
injekce   Piperacillin sodium / tazobactam   
injekce   Heparin sodium 1,4 UI/ml
4°C
168 Hodina
Nespecifikováno 4180
Úroveň zkoušky B
polypropylen Chlorid sodný 0,9% 20 / 2.5 mg/ml
injekce   Piperacillin sodium / tazobactam   
injekce   Norepinephrine bitartrate 0,032 mg/ml
22-23°C
24 Hodina
Chráněno před světlem 4758
Úroveň zkoušky B
stříkačka polypropylen Voda pro injekci 90/10 mg/ml
injekce   Piperacillin sodium / tazobactam   
injekce   Paracetamol 10 mg/ml
25°C
4 Hodina
Nespecifikováno 3571
Úroveň zkoušky A+

  Mentions Légales