Seneste opdatering :
27/11/2025
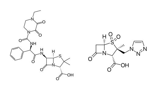
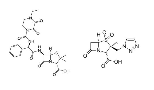
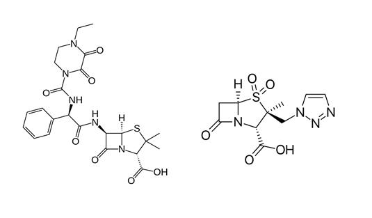
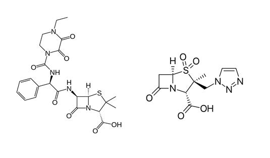
Antibiotisk   Piperacillin sodium / tazobactam  
Injektion
Stabilitet i (vandige) opløsninger Stabilitet i blandinger Faktorer der påvirker stabiliteten Kompatibilitet Administrationsvej Bibliografi pdf
   Kemisk struktur  

Handelsnavn   Handelsnavn     

Handel navne er vejledende og hjælpestoffer sammensætning kan være forskellig afhængigt af landet og laboratorier

Bagotaz Argentina
Betampil Ecuador
Bioval Chile
Petezam Argentina
Piperac Tyskland
Piperacillin tazobactam Belgien, Canada, Tyskland
Piperazam Brasilien
Pipetazo Chile
Pipitaz Østrig
Pixamol Colombia
Tazobac Ecuador, Italien, Portugal, Schweiz
Tazocel Spanien
Tazocilline Frankrig
Tazocin Argentina, Australien, Brasilien, Colombia, Danmark, Finland, Forenede Arabiske Emirater, Grækenland, Holland, Italien, Kroatien, Luxemborg, Marokko, Mexico, New Zealand, Nordirland, Norge, Polen, Storbritanien, Sverige, Sydafrika, Tyrkiet, Ungarn, Ægypten
Tazonam Chile, Østrig
Tazopip Australien
Tazpen Colombia, Mexico
Tazrobida Colombia
Tigux Chile
Tratac Chile
Trital Ecuador
Zosyn Japan, USA
Stabilitet i blandinger   Injektion   Stabilitet i blandinger : Piperacillin sodium / tazobactam     
Beholder Opløsningsmiddel Koncentration Molekyle Temperatur Konservering Varighed af stabilitet Bibliografi
Glas 0,9 % Natriumklorid 80/10 mg/ml
Injektion   Piperacillin sodium / tazobactam   
Injektion   Ranitidine hydrochloride 0,5 & 2 mg/ml
23°C
4 Time
Lys 235
Level af bevismateriale B
Glas 0,9 % Natriumklorid 20/2,5 >> 40/5 mg/ml
Injektion   Piperacillin sodium / tazobactam   
Injektion   Ondansetron hydrochloride 0,015 >> 0,15 mg/ml
23°C
4 Time
Lys 16
Polyvinylklorid Dianéal® PD1 1.5% Glukose (Baxter) 0,5/0,0625 mg/ml
Injektion   Piperacillin sodium / tazobactam   
Injektion   Heparin sodium 0,5 UI/ml
37°C
10 Time
Ikke nærmere angivet 4180
Level af bevismateriale B
Polyvinylklorid Dianéal® PD1 1.5% Glukose (Baxter) 0,5/0,0625 mg/ml
Injektion   Piperacillin sodium / tazobactam   
Injektion   Heparin sodium 0,5 UI/ml
4°C
168 Time
Ikke nærmere angivet 4180
Level af bevismateriale B
Polyvinylklorid Dianéal® PD2 4.25% Glukose (Baxter) 0,5/0,0625 mg/ml
Injektion   Piperacillin sodium / tazobactam   
Injektion   Heparin sodium 0,5 UI/ml
37°C
10 Time
Ikke nærmere angivet 4180
Level af bevismateriale B
Polyvinylklorid Dianéal® PD2 4.25% Glukose (Baxter) 0,5/0,0625 mg/ml
Injektion   Piperacillin sodium / tazobactam   
Injektion   Heparin sodium 0,5 UI/ml
4°C
168 Time
Ikke nærmere angivet 4180
Level af bevismateriale B
Polyvinylklorid Dianéal® PD2 2.5% glucose (Baxter) 0,5/0,0625 mg/ml
Injektion   Piperacillin sodium / tazobactam   
Injektion   Heparin sodium 0,5 UI/ml
37°C
10 Time
Ikke nærmere angivet 4180
Level af bevismateriale B
Polyvinylklorid Dianéal® PD2 2.5% glucose (Baxter) 0,5/0,0625 mg/ml
Injektion   Piperacillin sodium / tazobactam   
Injektion   Heparin sodium 0,5 UI/ml
4°C
168 Time
Ikke nærmere angivet 4180
Level af bevismateriale B
Polyvinylklorid Extraneal® (Baxter) 0,5/0,0625 mg/ml
Injektion   Piperacillin sodium / tazobactam   
Injektion   Heparin sodium 0,5 UI/ml
37°C
10 Time
Ikke nærmere angivet 4180
Level af bevismateriale B
Polyvinylklorid Extraneal® (Baxter) 0,5/0,0625 mg/ml
Injektion   Piperacillin sodium / tazobactam   
Injektion   Heparin sodium 0,5 UI/ml
4°C
168 Time
Ikke nærmere angivet 4180
Level af bevismateriale B
Polyvinylklorid Physionéal® 1.36 (Baxter) 1,38/0,172 mg/ml
Injektion   Piperacillin sodium / tazobactam   
Injektion   Heparin sodium 1,4 UI/ml
37°C
10 Time
Ikke nærmere angivet 4180
Level af bevismateriale B
Polyvinylklorid Physionéal® 1.36 (Baxter) 1,38/0,172 mg/ml
Injektion   Piperacillin sodium / tazobactam   
Injektion   Heparin sodium 1,4 UI/ml
4°C
168 Time
Ikke nærmere angivet 4180
Level af bevismateriale B
Polyvinylklorid Physionéal® 2.27 (Baxter) 1,38/0,172 mg/ml
Injektion   Piperacillin sodium / tazobactam   
Injektion   Heparin sodium 1,4 UI/ml
37°C
10 Time
Ikke nærmere angivet 4180
Level af bevismateriale B
Polyvinylklorid Physionéal® 2.27 (Baxter) 1,38/0,172 mg/ml
Injektion   Piperacillin sodium / tazobactam   
Injektion   Heparin sodium 1,4 UI/ml
4°C
168 Time
Ikke nærmere angivet 4180
Level af bevismateriale B
Polyvinylklorid Physionéal® 3.86 (Baxter) 1,38/0,172 mg/ml
Injektion   Piperacillin sodium / tazobactam   
Injektion   Heparin sodium 1,4 UI/ml
37°C
10 Time
Ikke nærmere angivet 4180
Level af bevismateriale B
Polyvinylklorid Physionéal® 3.86 (Baxter) 1,38/0,172 mg/ml
Injektion   Piperacillin sodium / tazobactam   
Injektion   Heparin sodium 1,4 UI/ml
4°C
168 Time
Ikke nærmere angivet 4180
Level af bevismateriale B
Polypropylen 0,9 % Natriumklorid 20 / 2.5 mg/ml
Injektion   Piperacillin sodium / tazobactam   
Injektion   Norepinephrine bitartrate 0,032 mg/ml
22-23°C
24 Time
Beskyt mod lys 4758
Level af bevismateriale B
sprøjte polypropylen Vand til injektion 90/10 mg/ml
Injektion   Piperacillin sodium / tazobactam   
Injektion   Paracetamol 10 mg/ml
25°C
4 Time
Ikke nærmere angivet 3571
Level af bevismateriale A+

  Mentions Légales