zadnja posodobitev :
27/04/2026
Zdravilo za zaviranje imunske odzivnosti   Ciclosporin  
Brizgalka
Kapljice za oči Mazila Peroralna raztopina
Stabilnost raztopine Stabilnost mešanice Faktorji, ki vplivajo na stabilnost Kompatibilnost način aplikacije Viri pdf
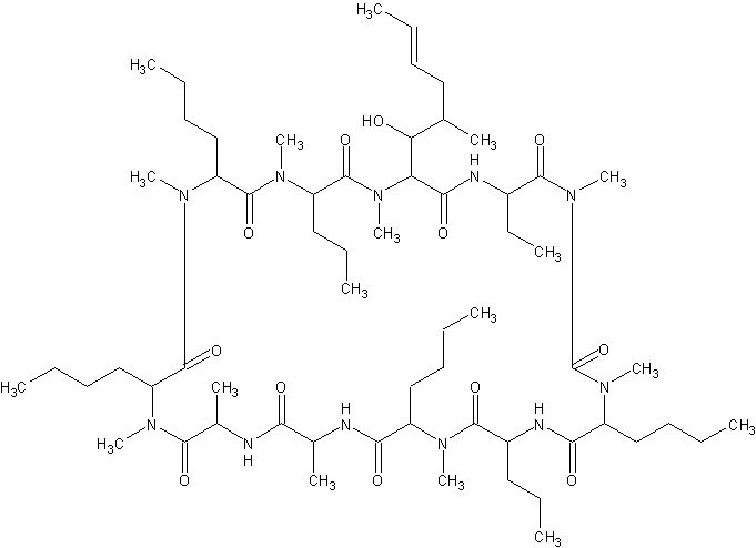
   Kemična formula  

Lastniško ime   Lastniško ime     

Sestava pomožnih snovi je med paralelami lahko različna

Cyclosporine Kanada, Združene države Amerike
Graftin Indija
Sandimmum Argentina, Avstralija, Avstrija, Belgija, Čile, Danska, Finska, Grčija, Iran, Irska, Islandija, Italija, Kolumbija, Luksemburg, Madžarska, Malezija, Maroko, Mehika, Nemčija, Norveška, nova Zelandija, Peru, Poljska, Portugalska, Savdska Arabija, Španija, Švedska, Švica, Tunizija, Turčija, Velika Britanija, Združeni arabski emirati
način aplikacije   način aplikacije :Ciclosporin     
Voie
Intravenska infuzija

  Mentions Légales