Ultimo aggiornamento :
27/11/2025
Immunosoppressore   Ciclosporin  
Iniezione
Collirio Soluzione orale Unguenti
Stabilità in soluzione Stabilità in miscela Fattori che influenzano la stabilità Compatibilità metodo di iniezione Bibliografia pdf
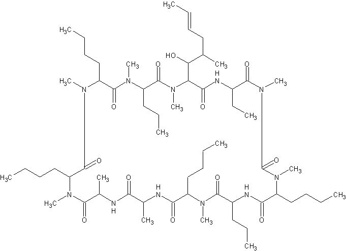
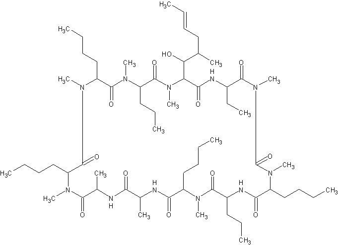
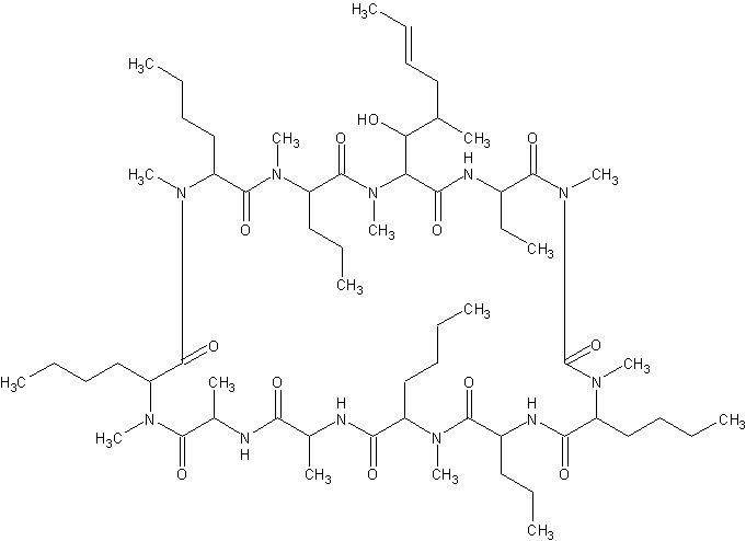
   Struttura chimica  

Nome commerciale   Nome commerciale     

Trade names are indicative and excipients composition can be different depending on the country and manufacturers

Cyclosporine Canada, Stati Uniti d’America
Graftin India
Sandimmum Arabia Saudita, Argentina, Australia, Austria, Belgio, Chile, Colombia, Danimarca, Emirati Arabi Uniti, Finlandia, Germania, Gran Bretagna, Grecia, Iran, Irlanda, Islanda, Italia, Lussemburgo, Malaysia, Marocco, Messico, Norvegia, nuova Zelanda, Perù, Polonia, Portogallo, Spagna, Svezia, Svizzera, Tunisia, Turchia, Ungheria
metodo di iniezione   metodo di iniezione :Ciclosporin     
Voie
Flebo endovenosa

  Mentions Légales