viimane versioon :
27/04/2026
immunosupressant   Ciclosporin  
Süsteravim
salv Silmatilgad suukaudne lahus
Stabiilsus lahustes Stabiilsust mõjutavad tegurid stabiilsust mõjutavad faktorid Sobimatus Manustamis viis Viited pdf
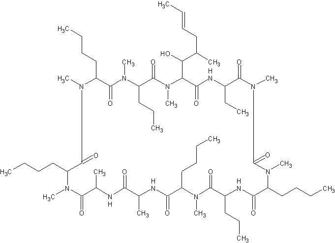
   keemiline struktuur  

Kaubanduslikud nimed erinevates maades   Kaubanduslikud nimed erinevates maades     

Preparaatide nimed on näitlikud ja abianete sisaldus võib erineda sõltuvalt riigist ja laborist

Cyclosporine Ameerika ühendriigid, Kanada
Graftin India
Sandimmum Araabia Ühendemiraadid, Argentiina, Austraalia, Austria, Belgia, Hispaania, Iirimaa, Iraan, Island, Itaalia, Kolumbia, Kreeka, Luksemburg, Malaisia, Maroko, Maroko, Mehhiko, Norra, Poola, Portugal, Rootsi, Saksamaa, Saudi Araabia, Soome, Suurbritannia, Sveits, Taani, Tšiili, Tuneesia, Türgi, Ungari, uus-Meremaa
Manustamis viis   Manustamis viis :Ciclosporin     
Voie
intravenoosne infusioon

  Mentions Légales