Utolsó frissítés :
27/04/2026
Immunszuppresszív szer   Ciclosporin  
Injekció
belsőleges oldat kenőcs Szemcsepp
Az oldatok stabilitása A keverékek stabilitása Stabilitást befolyásoló tényezők Kompatibilitás Az alkalmazás módja Irodalom pdf
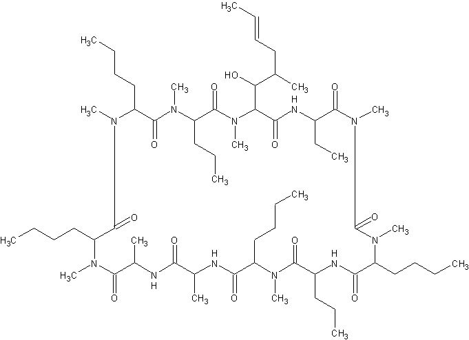
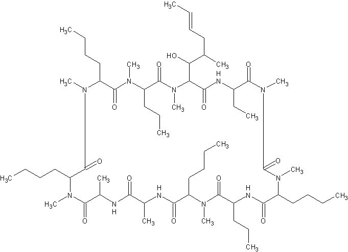
   Kémiai szerkezet   

Kereskedelmi név   Kereskedelmi név     

A kereskedelmi név meghatározó jelentőségű: a készítmények összetétele országonként, előállítóként eltérő lehet

Cyclosporine Amerikai Egyesült Államok, Kanada
Graftin India
Sandimmum Argentína, Ausztrália, Ausztria, Belgium, Chile, Colombia, Dánia, Egyesült Arab Emírségek, Finnország, Görögország, Irán, Írország, Izland, Lengyelország, Luxemburg, Magyarország, Malaysia, Marokkó, Mexikó, Nagy-Britannia, Németország, Norvégia, Olaszország, Peru, Portugália, Spanyolország, Svájc, Svédország, Szaúd-Arábiában, Törökország, Tunézia, új-Zéland
Az alkalmazás módja   Az alkalmazás módja :Ciclosporin     
Voie
Intravénás infúzió

  Mentions Légales