Τελευταία ενημέρωση :
27/04/2026
Ανοσοκατασταλτικό   Ciclosporin  
Ενέσιμο
Αλοιφές Οφθαλμικές σταγόνες Πόσιμο διάλυμα
Σταθερότητα διαλυμάτων Σταθερότητα σε μίγματα Παράγοντας που επηρεάζει τη σταθερότητα Συμβατότητες Τρόπος χορήγησης Βιβλιογραφία pdf
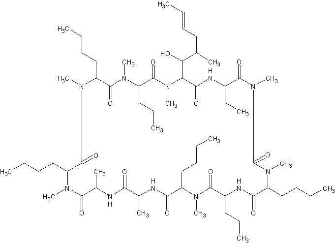
   χημική δομή  

Εμπορική ονομασία   Εμπορική ονομασία     

Οι εμπορικές ονομασίες είναι ενδεικτικές και η σύνθεση των εκδόχων μπορεί να διαφέρει ανάλογα με τη χώρα και τα εργαστήρια

Cyclosporine Η.Π.Α., Καναδάς
Graftin Ινδία
Sandimmum Yhdistyneet arabiemiirikunnat, Αργεντινή, Αυστραλία, Αυστρία, Βέλγιο, Γερμανία, Δανία, Ελβετία, Ελλάδα, Ιράν, Ιρλανδία, Ισλανδία, Ισπανία, Ιταλία, Κολομβία, Λουξεμβούργο, Μαλαισία, Μαρόκο, Μεγάλη Βρετανία, Μεξικό, νέα Ζηλανδία, Νορβηγία, Ουγγαρία, Περού, Πολωνία, Πορτογαλία, Σαουδική Αραβία, Σουηδία, Τουρκία, Τυνησία, Φινλανδία, Χιλή
Τρόπος χορήγησης   Τρόπος χορήγησης :Ciclosporin     
Voie
Ενδοφλέβια έκχυση

  Mentions Légales