Laatste update :
27/04/2026
Immunosuppressivum   Ciclosporin  
injecteerbaar geneesmiddel
Oogwater Orale Oplossing zalf
Stabiliteit in oplossing Stabiliteit in mengsels Factoren die de stabiliteit beïnvloeden Verenigbaarheden Toedieningswijze Literatuur pdf
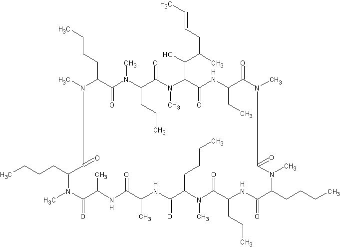
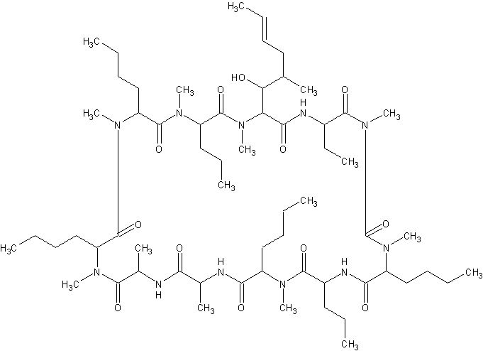
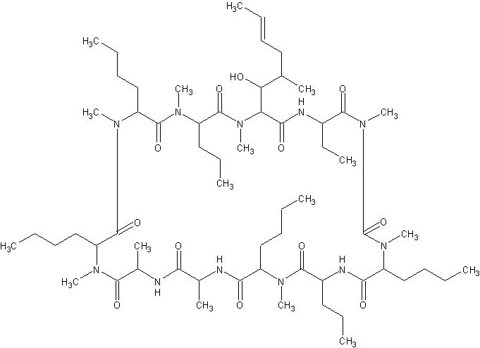
   Molecuulstructuur  

Merknamen in verschillende landen   Merknamen in verschillende landen     

Handelsnamen zijn slechts een indicatie; de samenstelling van hulpstoffen kan per land variëren afhankelijk van de fabrikant

Cyclosporine Canada, USA
Graftin Indië
Sandimmum Argentinië, Australië, België, Chili, Colombia, Denemarken, Duitsland, Finland, Griekenland, Groot Britannië, Hongarije, Ierland, IJsland, Iran, Italië, Luxemburg, Maleisië, Marokko, Mexico, nieuw Zeeland, Noorwegen, Oostenrijk, Peru, Polen, Portugal, Saudi-Arabië, Spanje, Tunisie, Turkije, Verenigde Arabische Emiraten, Zweden, Zwitserland
Toedieningswijze   Toedieningswijze :Ciclosporin     
Voie
Intraveneus infuus

  Mentions Légales