Posledná aktualizácia :
27/04/2026
imunosupresívum   Ciclosporin  
Injekcia
Dermálny prípravok Očná instilácia Perorálny roztok
Stabilita roztokov Stabilita v zmesiach Faktory ovplyvňujúce stabilitu Kompatibility spôsob podania Odkazy na literatúru PDF
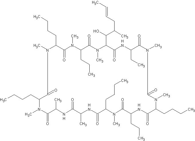
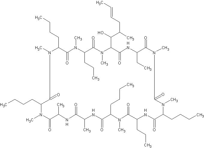
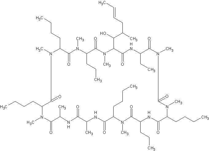
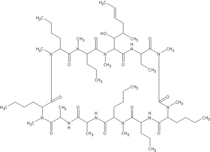
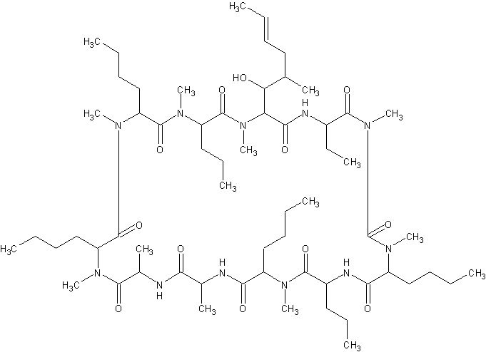
   Chemický vzorec  

Obchodný názov   Obchodný názov     

Obchodné názvy sú orientačné, a zloženie pomocných látok sa môže líšiť v závislosti od krajiny a výrobcu.

Cyclosporine Kanada, Spojené štáty Americké
Graftin India
Sandimmum Argentína, Austrália, Belgicko, Čile, Dánsko, Fínsko, Grécko, Irán, Írsko, Island, Kolumbia, Luxembursko, Maďarsko, Malajzia, Maroko, Mexiko, Nemecko, Nórsko, nový Zéland, peru, Poľsko, Portugalsko, Rakúsko, Saudská Arábia, Španielsko, Spojené arabské emiráty, Švajčiarsko, Švédsko, Taliansko, Tunisko, Turecko, Veľká Británia
spôsob podania   spôsob podania :Ciclosporin     
Voie
intravenózna infúzia

  Mentions Légales