Ultimele actualizari :
27/11/2025
Imunosupresor   Ciclosporin  
Injectabil
colir Soluţie orală Unguente
Stabilitatea in solutie Stabilitatea in amestec Factorii care influenteaza stabilitatea Compatibilitate Microunde Bibliografie pdf
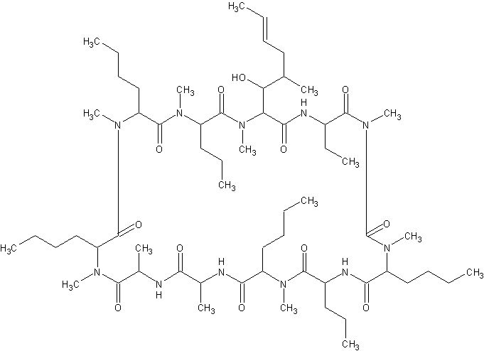
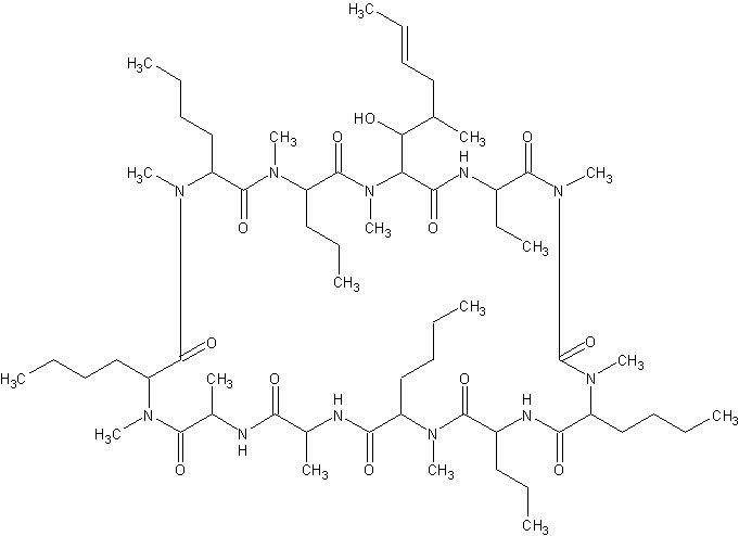
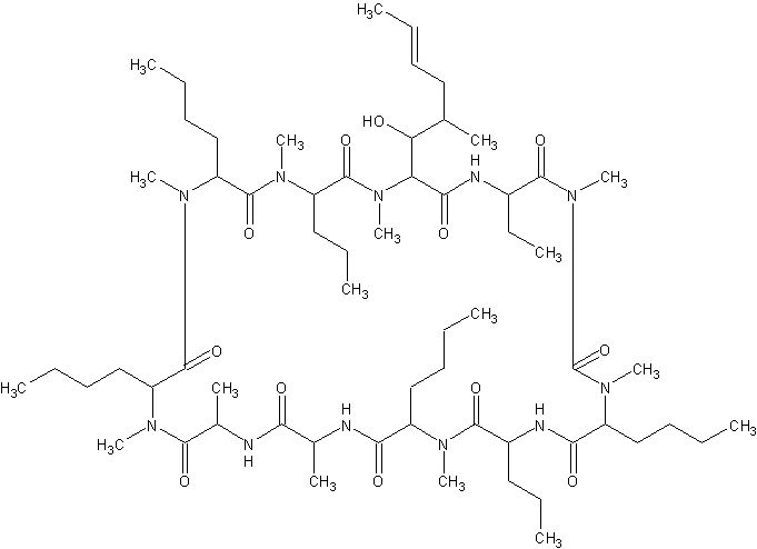
   Formula chimica  

Denumirea comerciala   Denumirea comerciala     

Trade names are indicative and excipients composition can be different depending on the country and manufacturers

Cyclosporine Canada, SUA
Graftin India
Sandimmum Arabia Saudita, Argentina, Australia, Austria, Belgia, Chilli, Columbia, Danemarca, Elvetia, Emiratele Arabe Unite, Finlanda, Germania, Grecia, Iran, Irlanda, Islanda, Italia, Luxemburg, Malaezia, Marea Britanie, Maroc, Mexic, Norvegia, noua Zeelandă, Peru, Polonia, Portugalia, Spania, Suedia, Tunisia, Turcia, Ungaria
Microunde   Microunde :Ciclosporin     
Voie
Perfuzie intravenoasa

  Mentions Légales