最新更新 :
27/04/2026
免疫抑制剂   Ciclosporin  
注射液
口服剂 眼药水 药膏
溶液稳定性 混合物稳定性 影响稳定性的因素 兼容性 用药途径 引用文献 PDF
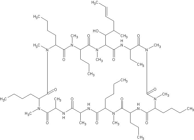
   化学式  

商品名   商品名     

商品名仅供参考, 药品所用的辅料可能依国家或厂商不同有所不同。

Cyclosporine 加拿大, 美国
Graftin 印度
Sandimmum 丹麦, 伊朗, 冰岛, 匈牙利, 卢森堡, 哥伦比亚, 土耳其, 墨西哥, 奥地利, 希腊, 德国, 意大利, 挪威, 摩洛哥, 新西蘭, 智利, 比利时, 沙特阿拉伯, 波兰, 澳大利亚, 爱尔兰, 瑞典, 瑞士, 秘鲁, 突尼斯, 芬兰, 英国, 葡萄牙, 西班牙, 阿根廷, 阿联酋, 马来西亚
用药途径   用药途径 :Ciclosporin     
路线
静脉输液

  Mentions Légales