Последно актуализиране :
27/04/2026
Имунопотискащ   Ciclosporin  
Инжекция/Инжекционен
Капки за очи Орален разтвор Унгвент/Унгвенти
Стабилност на разтвори Стабилност на смеси Фактори, повлияващи стабилността Съвместимост Път на въвеждане Библиография Pdf
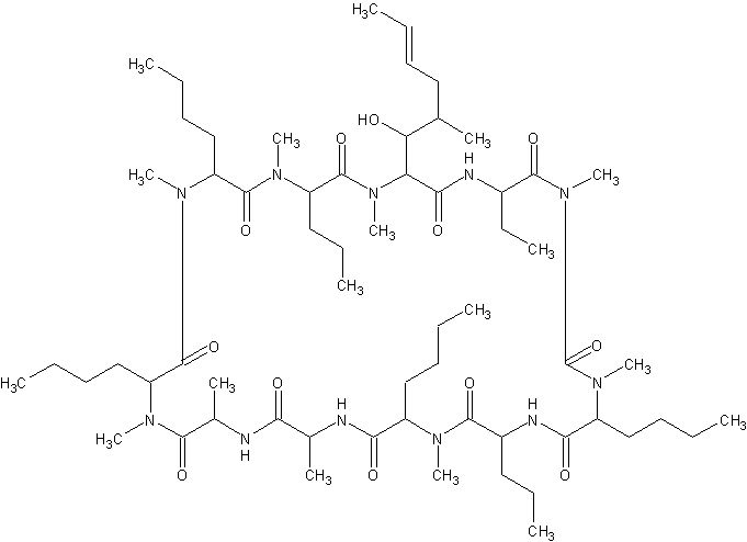
   Химична структура  

Търговско наименование   Търговско наименование     

Търговските имена са примерни и съставът на помощните вещества може да бъде различен в зависимост от държавата и лабораториите

Cyclosporine Канада, Съединени Американски щати / САЩ
Graftin Индия
Sandimmum Австралия, Австрия, Аржентина, Белгия, Великобритания, Германия, Гърция, Дания, Иран, Ирландия, Исландия, Испания, Италия, Колумбия, Люксенбург, Малайзия, Мароко, Мексико, нова Зеландия, Норвегия, Обединени арабски емирства, Перу, Полша, Португалия, Саудитска Арабия, Тунис, Турция, Унгария, Финландия, Чили, Швейцария, Швеция
Път на въвеждане   Път на въвеждане :Ciclosporin     
Voie
Интравенозна инфузия

  Mentions Légales