Τελευταία ενημέρωση :
27/01/2026
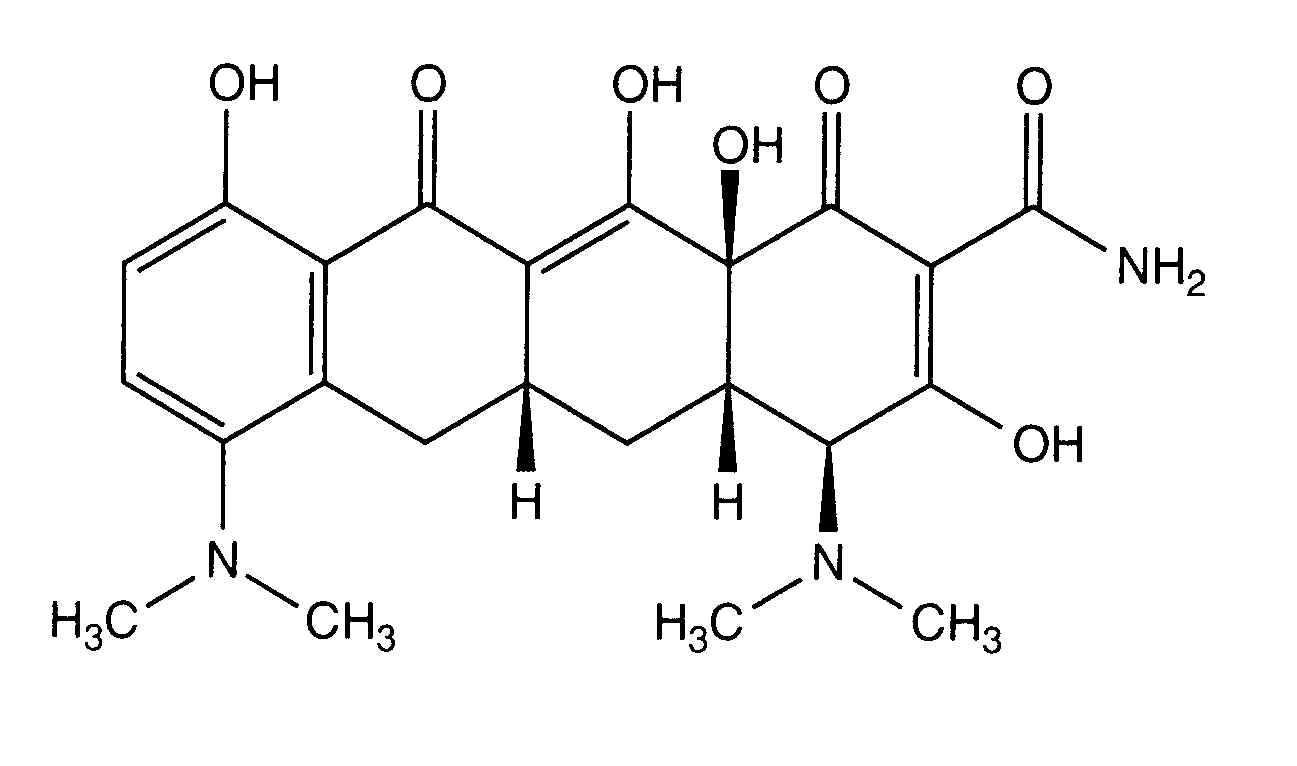
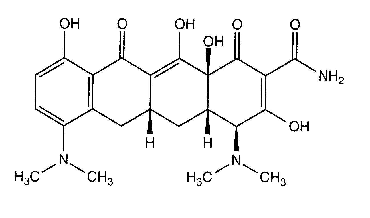
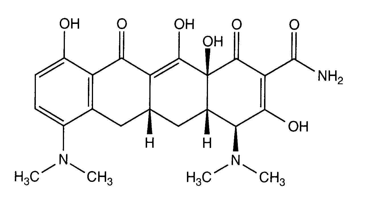
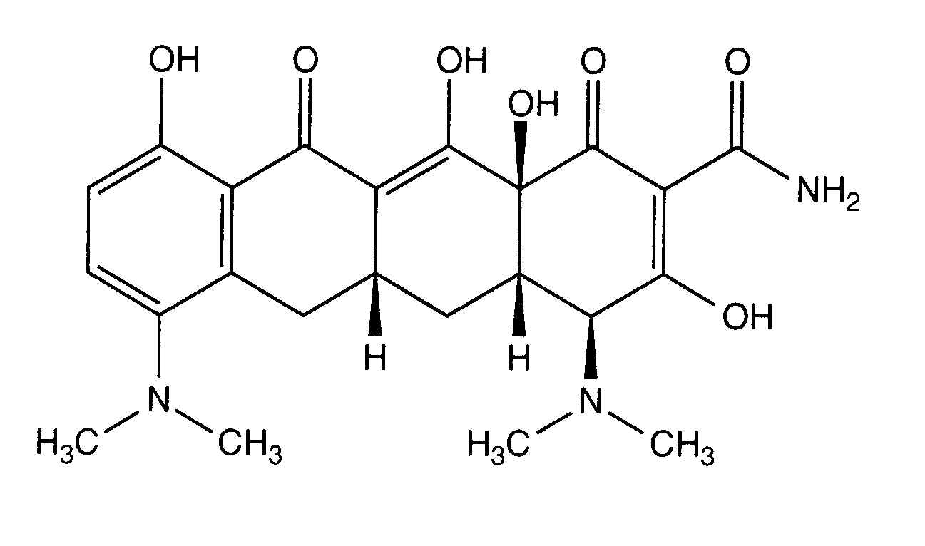
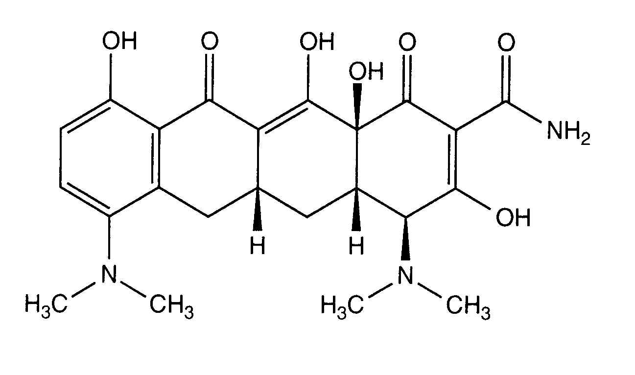
Αντιβιοτικό   Minocycline hydrochloride  
Ενέσιμο
Πόσιμο διάλυμα
Σταθερότητα διαλυμάτων Σταθερότητα σε μίγματα Παράγοντας που επηρεάζει τη σταθερότητα Συμβατότητες Τρόπος χορήγησης Βιβλιογραφία pdf
   χημική δομή  

Εμπορική ονομασία   Εμπορική ονομασία     

Οι εμπορικές ονομασίες είναι ενδεικτικές και η σύνθεση των εκδόχων μπορεί να διαφέρει ανάλογα με τη χώρα και τα εργαστήρια

Minocin Η.Π.Α.
Σταθερότητα διαλυμάτων   Ενέσιμο   Σταθερότητα διαλυμάτων : Minocycline hydrochloride     
Υποδοχέας Διαλυτικό Συγκέντρωση Θερμοκρασία Αποθήκευση Διάρκεια σταθερότητας Βιβλιογραφία
Πολυβινυλοχλωρίδιο Χλωριούχο νάτριο 0,9% 0,1 mg/ml 24°C Απροσδιόριστο
7 Ημέρα
263
Επίπεδο των αποδεικτικών στοιχείων B+

Πολυβινυλοχλωρίδιο Χλωριούχο νάτριο 0,9% 0,1 mg/ml 4°C Απροσδιόριστο
7 Ημέρα
263
Επίπεδο των αποδεικτικών στοιχείων B+

Πολυβινυλοχλωρίδιο Γλυκόζη 5% 0,1 mg/ml 24°C Απροσδιόριστο
7 Ημέρα
263
Επίπεδο των αποδεικτικών στοιχείων B+

Πολυβινυλοχλωρίδιο Γλυκόζη 5% 0,1 mg/ml 4°C Απροσδιόριστο
7 Ημέρα
263
Επίπεδο των αποδεικτικών στοιχείων B+


  Mentions Légales