最新更新 :
27/04/2026
抗生素   Minocycline hydrochloride  
注射液
口服剂
溶液稳定性 混合物稳定性 影响稳定性的因素 兼容性 用药途径 引用文献 PDF
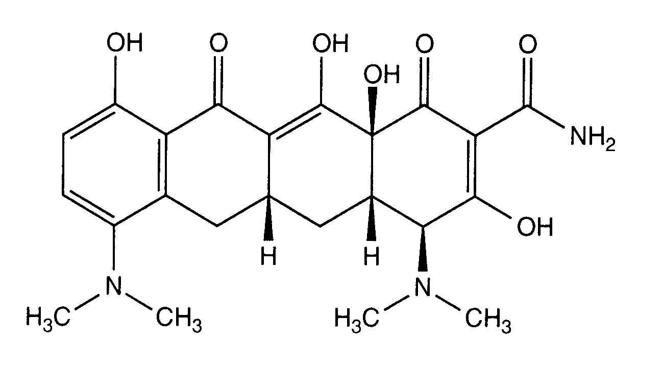
   化学式  

商品名   商品名     

商品名仅供参考, 药品所用的辅料可能依国家或厂商不同有所不同。

Minocin 美国
溶液稳定性   注射液   溶液稳定性 : Minocycline hydrochloride     
容器 溶剂 浓度 温度 保存 穩定持續時間 引用文献
聚氯乙烯 NaCl 0,9% 0,1 mg/ml 24°C 无特殊要求
7 白天
263
B+级

聚氯乙烯 NaCl 0,9% 0,1 mg/ml 4°C 无特殊要求
7 白天
263
B+级

聚氯乙烯 葡萄糖5% 0,1 mg/ml 24°C 无特殊要求
7 白天
263
B+级

聚氯乙烯 葡萄糖5% 0,1 mg/ml 4°C 无特殊要求
7 白天
263
B+级


  Mentions Légales