Pēdējā atjaunošana :
27/04/2026
Antibiotika   Minocycline hydrochloride  
Injekcija
Orāls šķīdums
Šķīduma stabilitāte Maisījuma stabilitāte Stabilitāti ietekmējoši faktori Saderība Levadīšanas veids Literatūras saraksts pdf
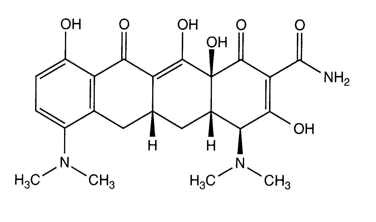
   Ķīmiskā uzbūve   

Oriģinālais nosaukums   Oriģinālais nosaukums     

Tirdzniecības nosaukumi ir apzīmējoši un palīgvielas var atšķirties dažādām valstīm un laboratorijām

Minocin Amerikas Savienotās Valstis
Šķīduma stabilitāte   Injekcija   Šķīduma stabilitāte : Minocycline hydrochloride     
Iepakojums Šķīdinātājs Koncentrācija Temperatūra Glabāšana Stabilitātes ilgums Literatūras saraksts
Polivinilhlorīds Nātrija hlorīds 0.9% 0,1 mg/ml 24°C Nav specifisks
7 Diena
263
Pierādījumu līmenis B+

Polivinilhlorīds Nātrija hlorīds 0.9% 0,1 mg/ml 4°C Nav specifisks
7 Diena
263
Pierādījumu līmenis B+

Polivinilhlorīds 5% glikoze 0,1 mg/ml 24°C Nav specifisks
7 Diena
263
Pierādījumu līmenis B+

Polivinilhlorīds 5% glikoze 0,1 mg/ml 4°C Nav specifisks
7 Diena
263
Pierādījumu līmenis B+


  Mentions Légales