Senaste uppdateringen :
27/04/2026
Antibiotikum   Minocycline hydrochloride  
injektion
Oral lösning
Lösningars stabilitet Stabilitet i blandningar Faktorer som påverkar stabiliteten Kompatibilitet Administreringssätt Hänvisningar pdf
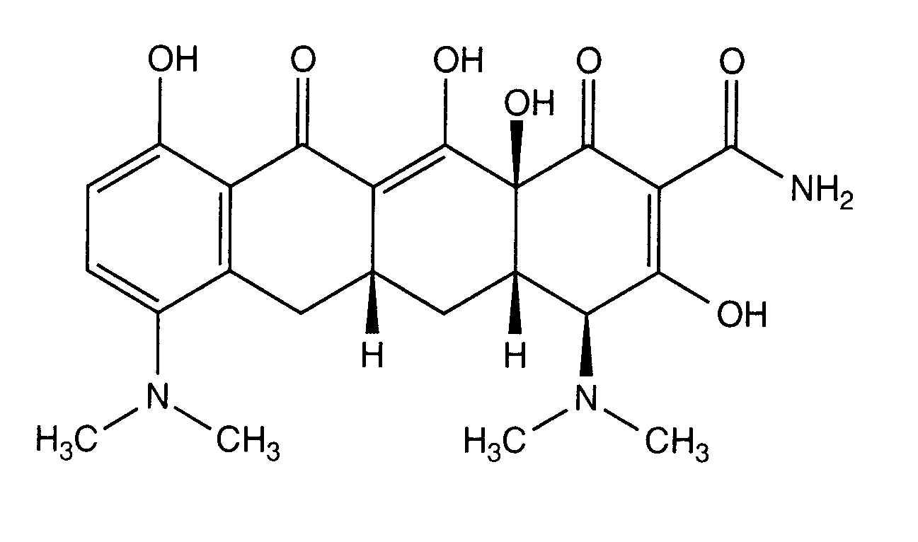
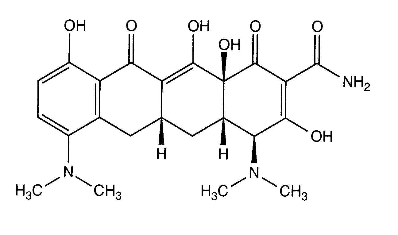
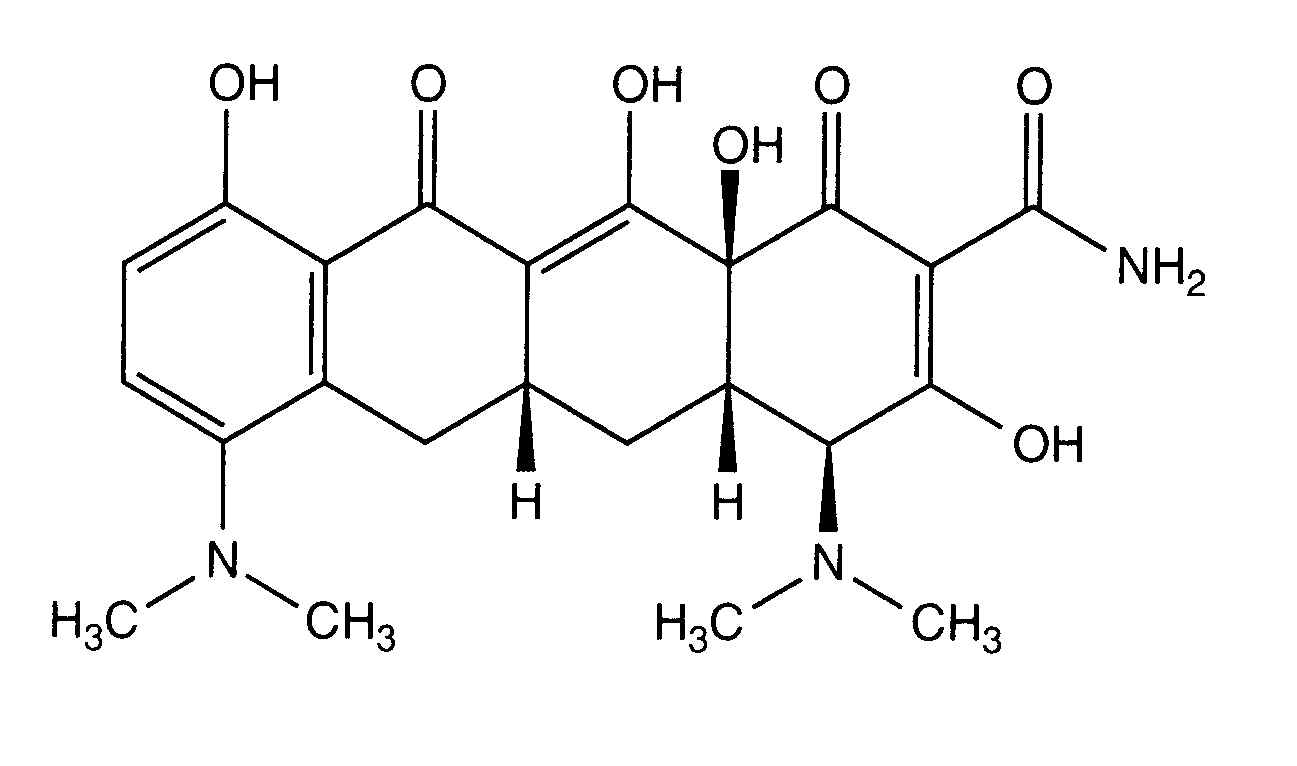
   Molekylstruktur  

Varunamn   Varunamn     

Angivna handelsnamn på läkemedel är enbart vägledande då formulering inklusive hjälpämnen kan variera mellan länder och tillverkare

Minocin Förenta Staterna
Lösningars stabilitet   injektion   Lösningars stabilitet : Minocycline hydrochloride     
Behållare Lösningsmedel Koncentration Temperatur Förvaring Stabilitets varaktighet Hänvisningar
Polyvinylklorid Natriumklorid 0,9 % 0,1 mg/ml 24°C Ej angiven
7 Dag
263
Evidensnivå B+

Polyvinylklorid Natriumklorid 0,9 % 0,1 mg/ml 4°C Ej angiven
7 Dag
263
Evidensnivå B+

Polyvinylklorid Glukos 5 % 0,1 mg/ml 24°C Ej angiven
7 Dag
263
Evidensnivå B+

Polyvinylklorid Glukos 5 % 0,1 mg/ml 4°C Ej angiven
7 Dag
263
Evidensnivå B+


  Mentions Légales