Última actualización :
27/04/2026
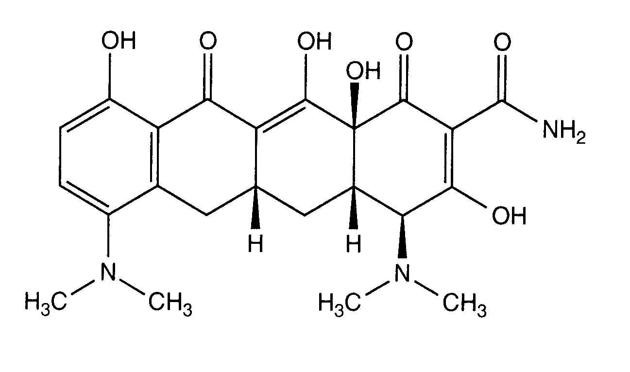
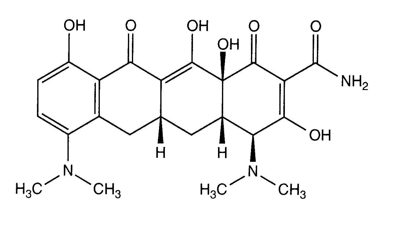
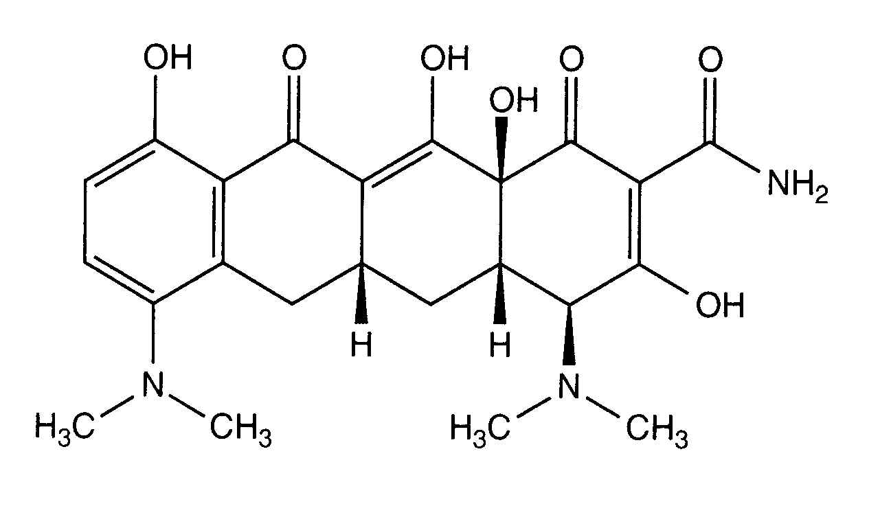
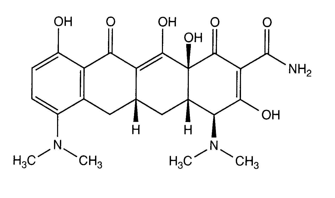
Antibiótico   Minocycline hydrochloride  
Inyectables
Solución Oral
Estabilidad en solucion Estabilidad en mezcla Factores que influyen sobre la estabilidad Compatibilidades método de inyección Bibliografía pdf
   Estructura química  

Nombre comercial   Nombre comercial     

Los nombres comerciales son orientativos y los excipientes de la formulación pueden ser distintos dependiendo del país y del laboratorio fabricante.

Minocin Estados Unidos de América
Estabilidad en solucion   Inyectables   Estabilidad en solucion : Minocycline hydrochloride     
Envase Solvente Concentración Temperatura Conservación Duración de la estabilidad Bibliografía
Cloruro de polivinilo Cloruro de sodio 0,9% 0,1 mg/ml 24°C No precisada
7 Día
263
Nivel de evidencia B+

Cloruro de polivinilo Cloruro de sodio 0,9% 0,1 mg/ml 4°C No precisada
7 Día
263
Nivel de evidencia B+

Cloruro de polivinilo Glucosa 5% 0,1 mg/ml 24°C No precisada
7 Día
263
Nivel de evidencia B+

Cloruro de polivinilo Glucosa 5% 0,1 mg/ml 4°C No precisada
7 Día
263
Nivel de evidencia B+


  Mentions Légales