Seneste opdatering :
27/04/2026
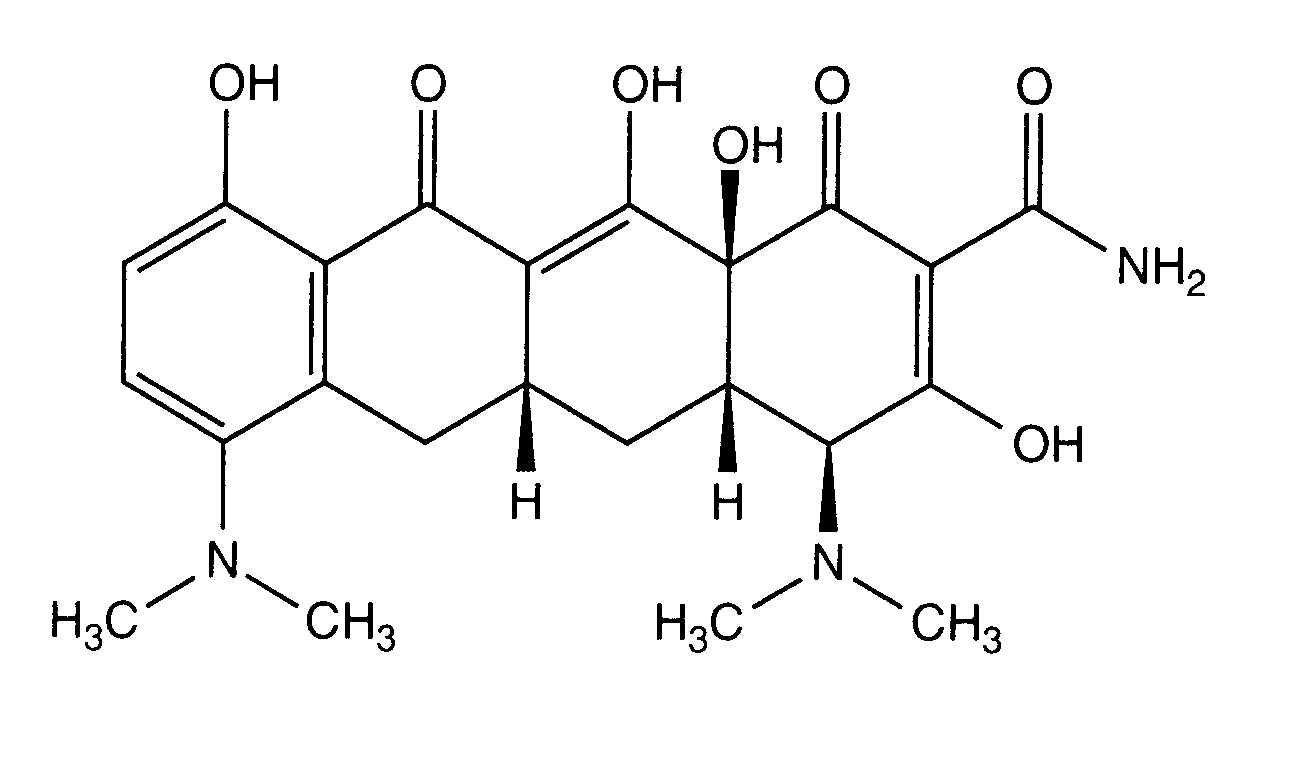
Antibiotisk   Minocycline hydrochloride  
Injektion
Oral opløsning
Stabilitet i (vandige) opløsninger Stabilitet i blandinger Faktorer der påvirker stabiliteten Kompatibilitet Administrationsvej Bibliografi pdf
   Kemisk struktur  

Handelsnavn   Handelsnavn     

Handel navne er vejledende og hjælpestoffer sammensætning kan være forskellig afhængigt af landet og laboratorier

Minocin USA
Stabilitet i (vandige) opløsninger   Injektion   Stabilitet i (vandige) opløsninger : Minocycline hydrochloride     
Beholder Opløsningsmiddel Koncentration Temperatur Konservering Varighed af stabilitet Bibliografi
Polyvinylklorid 0,9 % Natriumklorid 0,1 mg/ml 24°C Ikke nærmere angivet
7 Dag
263
Level af bevismateriale B+

Polyvinylklorid 0,9 % Natriumklorid 0,1 mg/ml 4°C Ikke nærmere angivet
7 Dag
263
Level af bevismateriale B+

Polyvinylklorid 5 % Glukose 0,1 mg/ml 24°C Ikke nærmere angivet
7 Dag
263
Level af bevismateriale B+

Polyvinylklorid 5 % Glukose 0,1 mg/ml 4°C Ikke nærmere angivet
7 Dag
263
Level af bevismateriale B+


  Mentions Légales