Laatste update :
27/04/2026
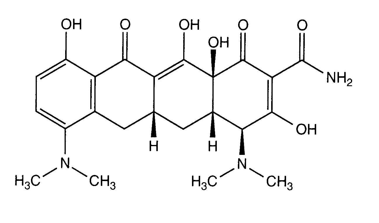
Antibioticum   Minocycline hydrochloride  
injecteerbaar geneesmiddel
Orale Oplossing
Stabiliteit in oplossing Stabiliteit in mengsels Factoren die de stabiliteit beïnvloeden Verenigbaarheden Toedieningswijze Literatuur pdf
   Molecuulstructuur  

Merknamen in verschillende landen   Merknamen in verschillende landen     

Handelsnamen zijn slechts een indicatie; de samenstelling van hulpstoffen kan per land variëren afhankelijk van de fabrikant

Minocin USA
Stabiliteit in oplossing   injecteerbaar geneesmiddel   Stabiliteit in oplossing : Minocycline hydrochloride     
Verpakking Oplosmiddel Concentratie Temperatuur Bewaring Duur van de stabiliteit Literatuur
Polyvinylchloride (PVC) Natriumchloride 0,9% 0,1 mg/ml 24°C Niet gespecificeerd
7 Dag
263
Niveau van bewijs B+

Polyvinylchloride (PVC) Natriumchloride 0,9% 0,1 mg/ml 4°C Niet gespecificeerd
7 Dag
263
Niveau van bewijs B+

Polyvinylchloride (PVC) Glucose 5% 0,1 mg/ml 24°C Niet gespecificeerd
7 Dag
263
Niveau van bewijs B+

Polyvinylchloride (PVC) Glucose 5% 0,1 mg/ml 4°C Niet gespecificeerd
7 Dag
263
Niveau van bewijs B+


  Mentions Légales