Utolsó frissítés :
27/01/2026
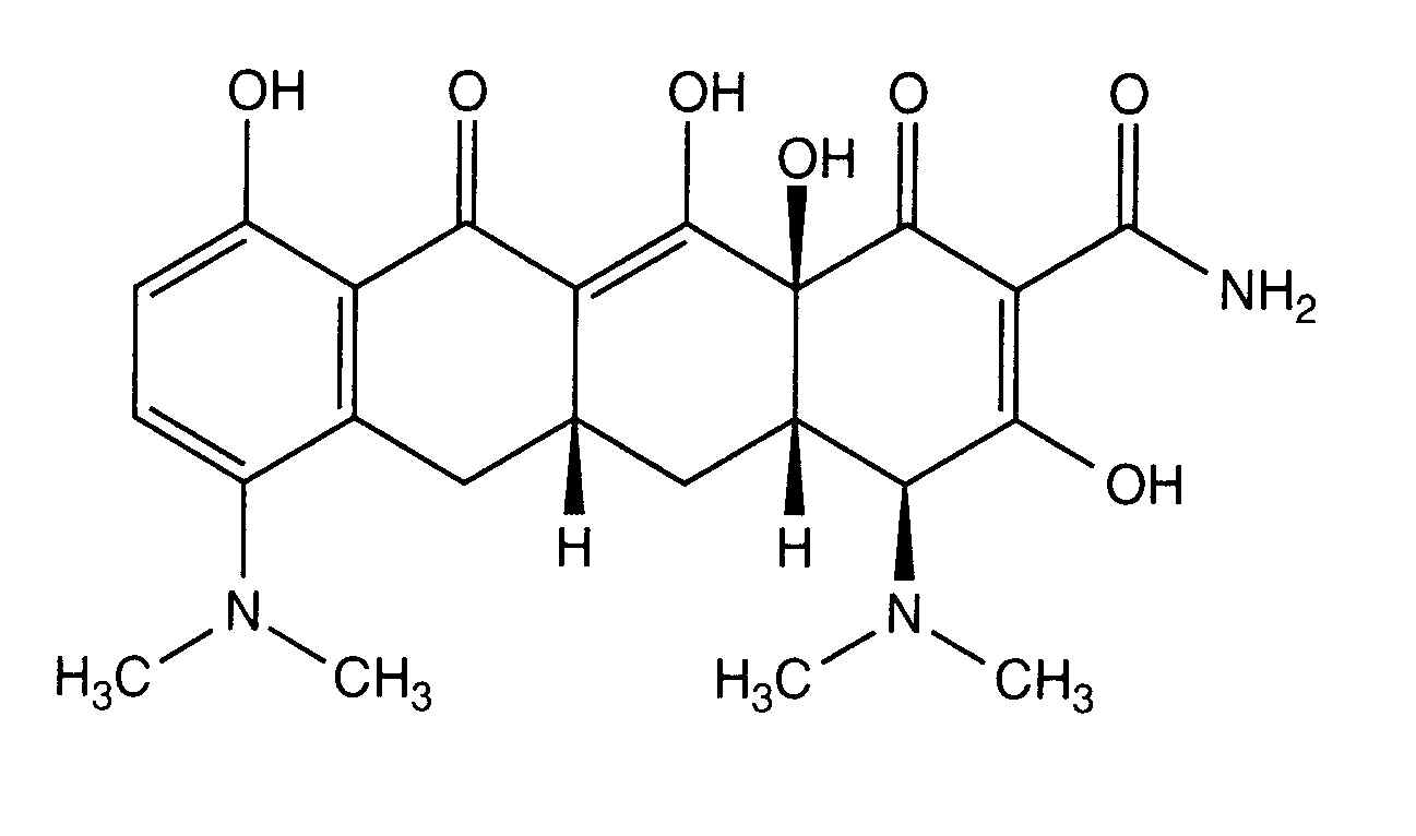
Antibiotikum   Minocycline hydrochloride  
Injekció
belsőleges oldat
Az oldatok stabilitása A keverékek stabilitása Stabilitást befolyásoló tényezők Kompatibilitás Az alkalmazás módja Irodalom pdf
   Kémiai szerkezet   

Kereskedelmi név   Kereskedelmi név     

A kereskedelmi név meghatározó jelentőségű: a készítmények összetétele országonként, előállítóként eltérő lehet

Minocin Amerikai Egyesült Államok
Az oldatok stabilitása   Injekció   Az oldatok stabilitása : Minocycline hydrochloride     
Csomagolás Oldószer Koncentráció Hőmérséklet Tárolás A stabilitás időtartama Irodalom
Poli(vinilklorid) 0,9% nátrium-klorid 0,1 mg/ml 24°C Nincs meghatározva
7 Nap
263
Szintű bizonyítékot B+

Poli(vinilklorid) 0,9% nátrium-klorid 0,1 mg/ml 4°C Nincs meghatározva
7 Nap
263
Szintű bizonyítékot B+

Poli(vinilklorid) 5% glükóz 0,1 mg/ml 24°C Nincs meghatározva
7 Nap
263
Szintű bizonyítékot B+

Poli(vinilklorid) 5% glükóz 0,1 mg/ml 4°C Nincs meghatározva
7 Nap
263
Szintű bizonyítékot B+


  Mentions Légales