zadnja posodobitev :
31/03/2026
Vazodilatator   Isosorbide dinitrate  
Brizgalka
Stabilnost raztopine Stabilnost mešanice Faktorji, ki vplivajo na stabilnost Kompatibilnost način aplikacije Viri pdf
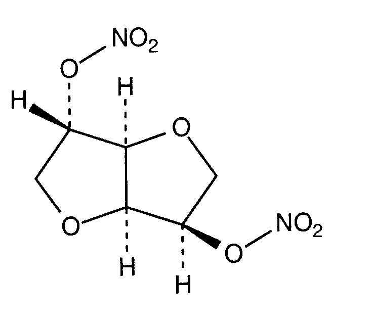
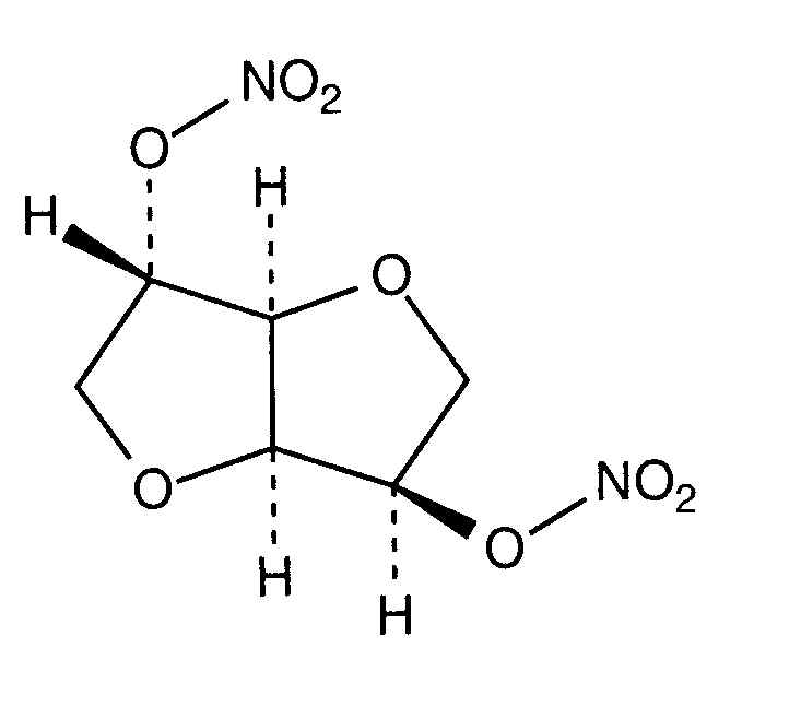
   Kemična formula  

Lastniško ime   Lastniško ime     

Sestava pomožnih snovi je med paralelami lahko različna

Angsobide Malezija
Cedocard Nizozemska
Diniket Italija
Dinit Velika Britanija
Ekilbran Mehika
Isoket Avstrija, Egipt, Irska, Luksemburg, Malezija, Mehika, Peru, Poljska, Portugalska, Savdska Arabija, Švica, Velika Britanija, Venezuela, Združeni arabski emirati
Isonit Ekvador, Peru
Nitrosid Finska
Nitrosorbide Italija
Risordan Francija
Zanisor Mehika
Stabilnost raztopine   Brizgalka   Stabilnost raztopine : Isosorbide dinitrate     
Vsebnik Topilo Koncentracija Temperatura Shranjevanje Trajanje stabilnosti Viri
Steklo Natrijev klorid 0,9% 0,095 mg/ml 21°C Zaščiteno pred svetlobo
24 čas
350

Polietilen Natrijev klorid 0,9% 0,02 mg/ml 22°C Zaščiteno pred svetlobo
24 čas
1067
 Stopnja dokaza C

Polietilen Natrijev klorid 0,9% 0,02 mg/ml 4°C Zaščiteno pred svetlobo
24 čas
1067
 Stopnja dokaza C

Polietilen Natrijev klorid 0,9% 0,095 mg/ml 21°C Zaščiteno pred svetlobo
24 čas
350

Polietilen Glukoza 5% 0,02 mg/ml 22°C Zaščiteno pred svetlobo
24 čas
1067
 Stopnja dokaza C

Polietilen Glukoza 5% 0,02 mg/ml 4°C Zaščiteno pred svetlobo
24 čas
1067
 Stopnja dokaza C

Brizgalka polipropilen Natrijev klorid 0,9% 0,6 mg/ml 2-8°C Zaščiteno pred svetlobo
28 Dan
4374
 Stopnja dokaza C+


  Mentions Légales