Posledná aktualizácia :
31/03/2026
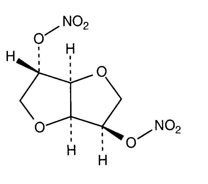
vazodilatans   Isosorbide dinitrate  
Injekcia
Stabilita roztokov Stabilita v zmesiach Faktory ovplyvňujúce stabilitu Kompatibility spôsob podania Odkazy na literatúru PDF
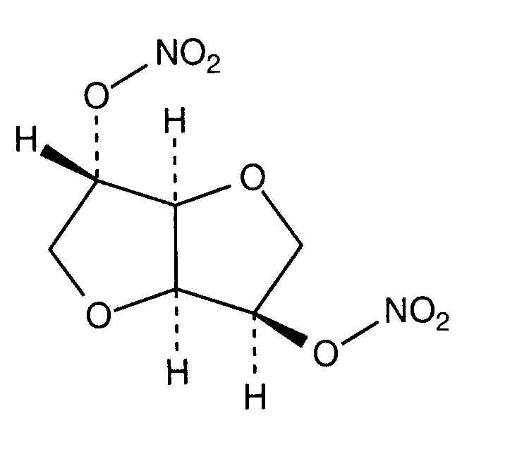
   Chemický vzorec  

Obchodný názov   Obchodný názov     

Obchodné názvy sú orientačné, a zloženie pomocných látok sa môže líšiť v závislosti od krajiny a výrobcu.

Angsobide Malajzia
Cedocard Holandsko
Diniket Taliansko
Dinit Veľká Británia
Ekilbran Mexiko
Isoket Egypt, Írsko, Luxembursko, Malajzia, Mexiko, peru, Poľsko, Portugalsko, Rakúsko, Saudská Arábia, Spojené arabské emiráty, Švajčiarsko, Veľká Británia, Venezuela
Isonit Ekvádor, peru
Nitrosid Fínsko
Nitrosorbide Taliansko
Risordan Francúzsko
Zanisor Mexiko
Stabilita roztokov   Injekcia   Stabilita roztokov : Isosorbide dinitrate     
obal rozpúšťadlo koncentrácia teplota uchovávanie Trvanie stability odkazy na lieteratúru
Sklo 0,9% chlorid sodný 0,095 mg/ml 21°C Chránené pred svetlom
24 hodín
350

polyetylén 0,9% chlorid sodný 0,02 mg/ml 22°C Chránené pred svetlom
24 hodín
1067
Úroveň dôkazov C

polyetylén 0,9% chlorid sodný 0,02 mg/ml 4°C Chránené pred svetlom
24 hodín
1067
Úroveň dôkazov C

polyetylén 0,9% chlorid sodný 0,095 mg/ml 21°C Chránené pred svetlom
24 hodín
350

polyetylén 5% glukóza 0,02 mg/ml 22°C Chránené pred svetlom
24 hodín
1067
Úroveň dôkazov C

polyetylén 5% glukóza 0,02 mg/ml 4°C Chránené pred svetlom
24 hodín
1067
Úroveň dôkazov C

Injekčná striekačka polypropylén 0,9% chlorid sodný 0,6 mg/ml 2-8°C Chránené pred svetlom
28 dní
4374
Úroveň dôkazov C+


  Mentions Légales