Последно актуализиране :
31/03/2026
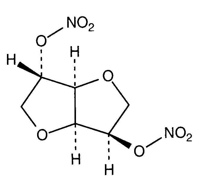
Вазодилататор   Isosorbide dinitrate  
Инжекция/Инжекционен
Стабилност на разтвори Стабилност на смеси Фактори, повлияващи стабилността Съвместимост Път на въвеждане Библиография Pdf
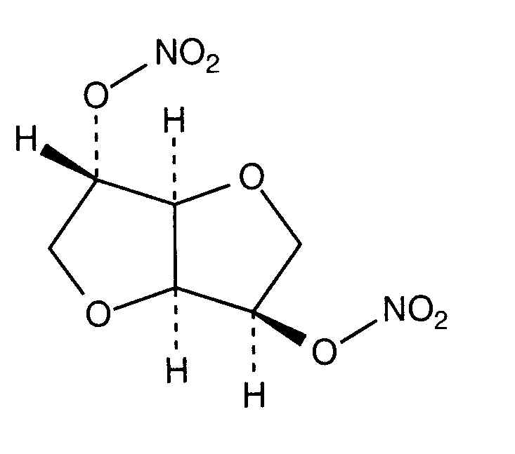
   Химична структура  

Търговско наименование   Търговско наименование     

Търговските имена са примерни и съставът на помощните вещества може да бъде различен в зависимост от държавата и лабораториите

Angsobide Малайзия
Cedocard Холандия
Diniket Италия
Dinit Великобритания
Ekilbran Мексико
Isoket Австрия, Великобритания, Венецуела, Египет, Ирландия, Люксенбург, Малайзия, Мексико, Обединени арабски емирства, Перу, Полша, Португалия, Саудитска Арабия, Швейцария
Isonit Еквадор, Перу
Nitrosid Финландия
Nitrosorbide Италия
Risordan Франция
Zanisor Мексико
Стабилност на разтвори   Инжекция/Инжекционен   Стабилност на разтвори : Isosorbide dinitrate     
Контейнер Разтворител Концентрация Температура Съхранение Продължителност на стабилността Библиография
Стъкло Sodium chloride 0,9% 0,095 mg/ml 21°C Защита от светлина
24 Час
350

Полиетилен Sodium chloride 0,9% 0,02 mg/ml 22°C Защита от светлина
24 Час
1067
Степен на доказаност C

Полиетилен Sodium chloride 0,9% 0,02 mg/ml 4°C Защита от светлина
24 Час
1067
Степен на доказаност C

Полиетилен Sodium chloride 0,9% 0,095 mg/ml 21°C Защита от светлина
24 Час
350

Полиетилен Glucose 5% 0,02 mg/ml 22°C Защита от светлина
24 Час
1067
Степен на доказаност C

Полиетилен Glucose 5% 0,02 mg/ml 4°C Защита от светлина
24 Час
1067
Степен на доказаност C

шприц полипропилен Sodium chloride 0,9% 0,6 mg/ml 2-8°C Защита от светлина
28 Ден
4374
Степен на доказаност C+


  Mentions Légales