Τελευταία ενημέρωση :
31/03/2026
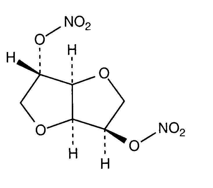
Θρομβολυτικό   Isosorbide dinitrate  
Ενέσιμο
Σταθερότητα διαλυμάτων Σταθερότητα σε μίγματα Παράγοντας που επηρεάζει τη σταθερότητα Συμβατότητες Τρόπος χορήγησης Βιβλιογραφία pdf
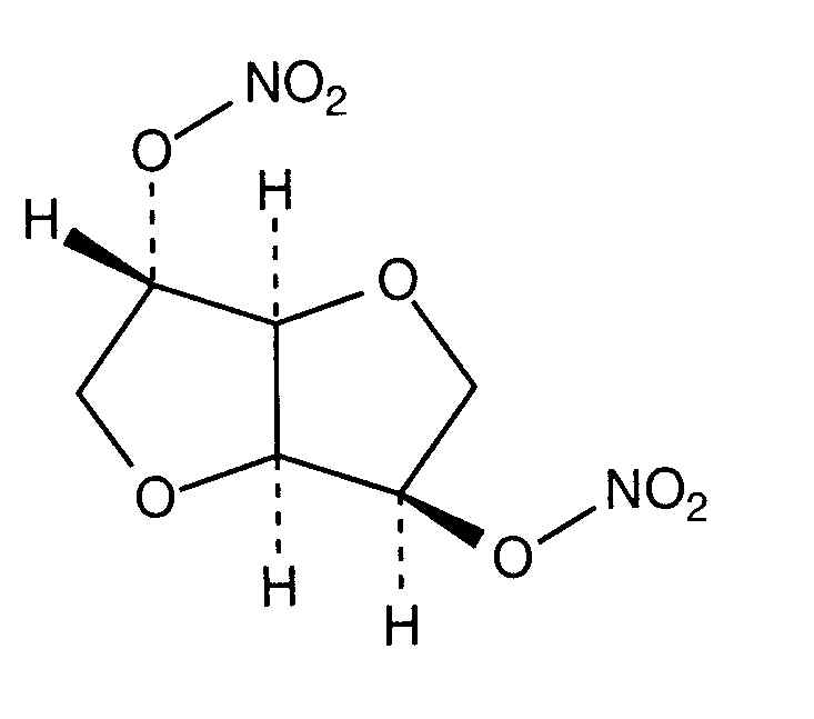
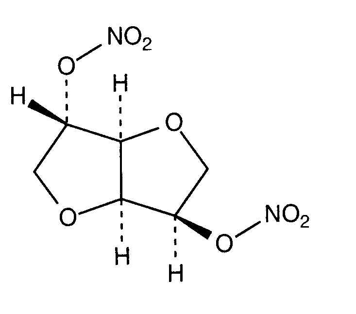
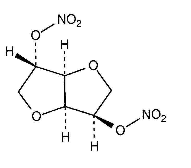
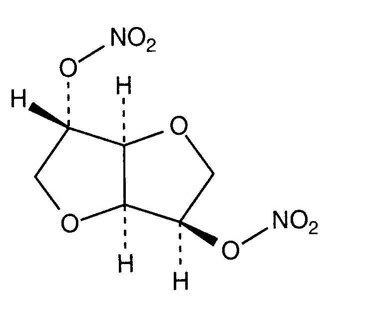
   χημική δομή  

Εμπορική ονομασία   Εμπορική ονομασία     

Οι εμπορικές ονομασίες είναι ενδεικτικές και η σύνθεση των εκδόχων μπορεί να διαφέρει ανάλογα με τη χώρα και τα εργαστήρια

Angsobide Μαλαισία
Cedocard Ολλανδία
Diniket Ιταλία
Dinit Μεγάλη Βρετανία
Ekilbran Μεξικό
Isoket Yhdistyneet arabiemiirikunnat, Αίγυπτος, Αυστρία, Βενεζουέλα, Ελβετία, Ιρλανδία, Λουξεμβούργο, Μαλαισία, Μεγάλη Βρετανία, Μεξικό, Περού, Πολωνία, Πορτογαλία, Σαουδική Αραβία
Isonit Εκουαδόρ, Περού
Nitrosid Φινλανδία
Nitrosorbide Ιταλία
Risordan Γαλλία
Zanisor Μεξικό
Σταθερότητα διαλυμάτων   Ενέσιμο   Σταθερότητα διαλυμάτων : Isosorbide dinitrate     
Υποδοχέας Διαλυτικό Συγκέντρωση Θερμοκρασία Αποθήκευση Διάρκεια σταθερότητας Βιβλιογραφία
Ύαλος Χλωριούχο νάτριο 0,9% 0,095 mg/ml 21°C Προστατεύετε από το φως
24 Ώρα
350

Πολυαιθυλένιο Χλωριούχο νάτριο 0,9% 0,02 mg/ml 22°C Προστατεύετε από το φως
24 Ώρα
1067
Επίπεδο των αποδεικτικών στοιχείων C

Πολυαιθυλένιο Χλωριούχο νάτριο 0,9% 0,02 mg/ml 4°C Προστατεύετε από το φως
24 Ώρα
1067
Επίπεδο των αποδεικτικών στοιχείων C

Πολυαιθυλένιο Χλωριούχο νάτριο 0,9% 0,095 mg/ml 21°C Προστατεύετε από το φως
24 Ώρα
350

Πολυαιθυλένιο Γλυκόζη 5% 0,02 mg/ml 22°C Προστατεύετε από το φως
24 Ώρα
1067
Επίπεδο των αποδεικτικών στοιχείων C

Πολυαιθυλένιο Γλυκόζη 5% 0,02 mg/ml 4°C Προστατεύετε από το φως
24 Ώρα
1067
Επίπεδο των αποδεικτικών στοιχείων C

σύριγγα πολυπροπυλένιο Χλωριούχο νάτριο 0,9% 0,6 mg/ml 2-8°C Προστατεύετε από το φως
28 Ημέρα
4374
Επίπεδο των αποδεικτικών στοιχείων C+


  Mentions Légales