Pēdējā atjaunošana :
31/03/2026
Vazodiletators   Isosorbide dinitrate  
Injekcija
Šķīduma stabilitāte Maisījuma stabilitāte Stabilitāti ietekmējoši faktori Saderība Levadīšanas veids Literatūras saraksts pdf
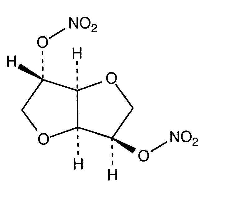
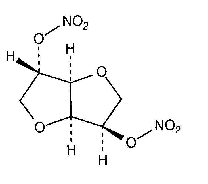
   Ķīmiskā uzbūve   

Oriģinālais nosaukums   Oriģinālais nosaukums     

Tirdzniecības nosaukumi ir apzīmējoši un palīgvielas var atšķirties dažādām valstīm un laboratorijām

Angsobide Malaizija
Cedocard Holande
Diniket Itālija
Dinit Lielbritānija
Ekilbran Meksika
Isoket Apvienotie Arābu Emirāti, Austrija, Ēģipte, Īrija, Lielbritānija, Luksemburga, Malaizija, Meksika, Peru, Polija, Portugāle, Saūda Arābija, Šveice, Venecuēla
Isonit Ekvadora, Peru
Nitrosid Somija
Nitrosorbide Itālija
Risordan Francija
Zanisor Meksika
Šķīduma stabilitāte   Injekcija   Šķīduma stabilitāte : Isosorbide dinitrate     
Iepakojums Šķīdinātājs Koncentrācija Temperatūra Glabāšana Stabilitātes ilgums Literatūras saraksts
Stikls Nātrija hlorīds 0.9% 0,095 mg/ml 21°C Aizsargāt no gaismas
24 Stunda
350

Polietilēns Nātrija hlorīds 0.9% 0,02 mg/ml 22°C Aizsargāt no gaismas
24 Stunda
1067
Pierādījumu līmenis C

Polietilēns Nātrija hlorīds 0.9% 0,02 mg/ml 4°C Aizsargāt no gaismas
24 Stunda
1067
Pierādījumu līmenis C

Polietilēns Nātrija hlorīds 0.9% 0,095 mg/ml 21°C Aizsargāt no gaismas
24 Stunda
350

Polietilēns 5% glikoze 0,02 mg/ml 22°C Aizsargāt no gaismas
24 Stunda
1067
Pierādījumu līmenis C

Polietilēns 5% glikoze 0,02 mg/ml 4°C Aizsargāt no gaismas
24 Stunda
1067
Pierādījumu līmenis C

Šļirce polipropilēna Nātrija hlorīds 0.9% 0,6 mg/ml 2-8°C Aizsargāt no gaismas
28 Diena
4374
Pierādījumu līmenis C+


  Mentions Légales