Última actualização :
31/03/2026
Vasodilatador   Isosorbide dinitrate  
injetável
Estabilidade em soluções simples Estabilidade em misturas Factores que afectam a sua estabilidade Compatibilidade Método de administração Bibliografía pdf
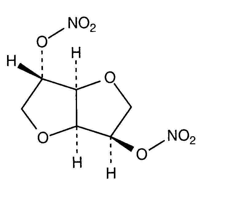
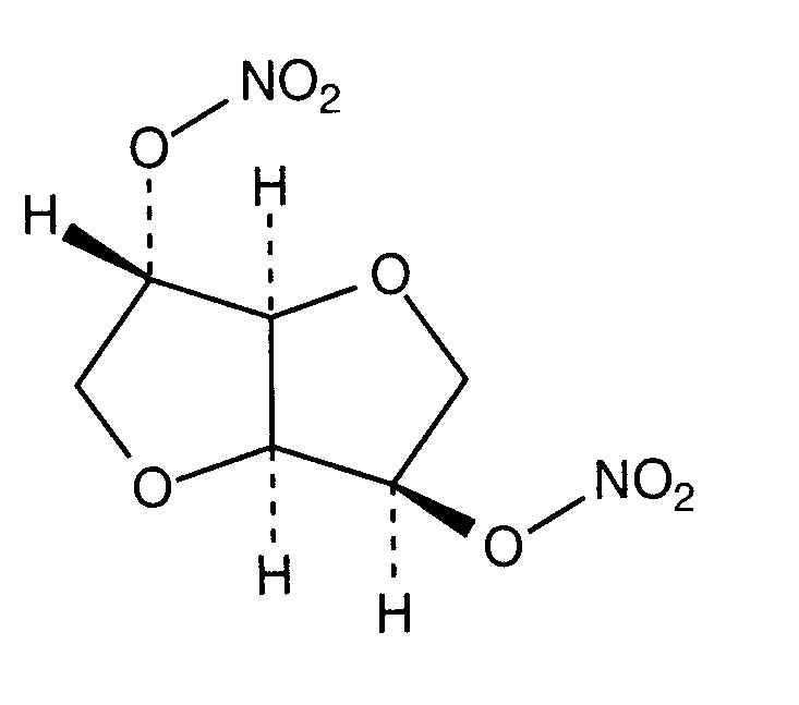
   estrutura química  

Nomes comerciais nos diversos países   Nomes comerciais nos diversos países     

OS NOMES COMERCIAIS SÃO INDICATIVOS E OS EXCIPIENTES DA FORMULAÇÃO PODEM SER DIFERENTES CONFORME O PAÍS E FABRICANTE.

Angsobide Malásia
Cedocard Países Baixos
Diniket Itália
Dinit Gran-bretanha
Ekilbran México
Isoket Arábia Saudita, Austria, Egipto, Emirados Árabes Unidos, Gran-bretanha, Irlanda, Luxemburgo, Malásia, México, Peru, Polonia, Portugal, Suicia, Venezuela
Isonit Equator, Peru
Nitrosid Finlandia
Nitrosorbide Itália
Risordan França
Zanisor México
Estabilidade em soluções simples   injetável   Estabilidade em soluções simples : Isosorbide dinitrate     
Embalagem Solvente concentração temperatura conservação Duração da estabilidade Bibliografia
vidro cloreto de sódio 0,9% 0,095 mg/ml 21°C ao abrigo da luz
24 hora
350

Polietileno cloreto de sódio 0,9% 0,02 mg/ml 22°C ao abrigo da luz
24 hora
1067
Nível de evidência C

Polietileno cloreto de sódio 0,9% 0,02 mg/ml 4°C ao abrigo da luz
24 hora
1067
Nível de evidência C

Polietileno cloreto de sódio 0,9% 0,095 mg/ml 21°C ao abrigo da luz
24 hora
350

Polietileno Glucose 5% 0,02 mg/ml 22°C ao abrigo da luz
24 hora
1067
Nível de evidência C

Polietileno Glucose 5% 0,02 mg/ml 4°C ao abrigo da luz
24 hora
1067
Nível de evidência C

seringa polipropylen cloreto de sódio 0,9% 0,6 mg/ml 2-8°C ao abrigo da luz
28 dia
4374
Nível de evidência C+


  Mentions Légales