Utolsó frissítés :
31/03/2026
Értágító   Isosorbide dinitrate  
Injekció
Az oldatok stabilitása A keverékek stabilitása Stabilitást befolyásoló tényezők Kompatibilitás Az alkalmazás módja Irodalom pdf
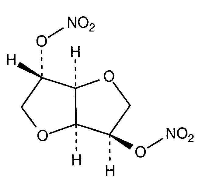
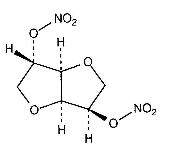
   Kémiai szerkezet   

Kereskedelmi név   Kereskedelmi név     

A kereskedelmi név meghatározó jelentőségű: a készítmények összetétele országonként, előállítóként eltérő lehet

Angsobide Malaysia
Cedocard Hollandia
Diniket Olaszország
Dinit Nagy-Britannia
Ekilbran Mexikó
Isoket Ausztria, Egyesült Arab Emírségek, Egyiptom, Írország, Lengyelország, Luxemburg, Malaysia, Mexikó, Nagy-Britannia, Peru, Portugália, Svájc, Szaúd-Arábiában, Venezuela
Isonit Ecuador, Peru
Nitrosid Finnország
Nitrosorbide Olaszország
Risordan Franciaország
Zanisor Mexikó
Az oldatok stabilitása   Injekció   Az oldatok stabilitása : Isosorbide dinitrate     
Csomagolás Oldószer Koncentráció Hőmérséklet Tárolás A stabilitás időtartama Irodalom
Üveg 0,9% nátrium-klorid 0,095 mg/ml 21°C Fénytől védve tartandó
24 Óra
350

Polietilén 0,9% nátrium-klorid 0,02 mg/ml 22°C Fénytől védve tartandó
24 Óra
1067
Szintű bizonyítékot C

Polietilén 0,9% nátrium-klorid 0,02 mg/ml 4°C Fénytől védve tartandó
24 Óra
1067
Szintű bizonyítékot C

Polietilén 0,9% nátrium-klorid 0,095 mg/ml 21°C Fénytől védve tartandó
24 Óra
350

Polietilén 5% glükóz 0,02 mg/ml 22°C Fénytől védve tartandó
24 Óra
1067
Szintű bizonyítékot C

Polietilén 5% glükóz 0,02 mg/ml 4°C Fénytől védve tartandó
24 Óra
1067
Szintű bizonyítékot C

fecskendő polipropilén 0,9% nátrium-klorid 0,6 mg/ml 2-8°C Fénytől védve tartandó
28 Nap
4374
Szintű bizonyítékot C+


  Mentions Légales