最新更新 :
31/03/2026
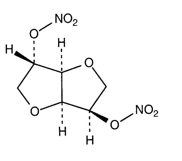
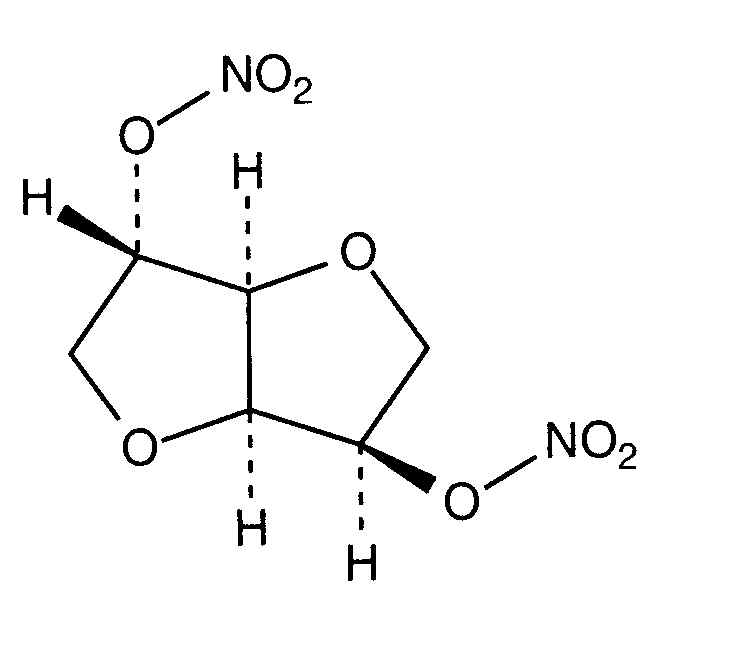
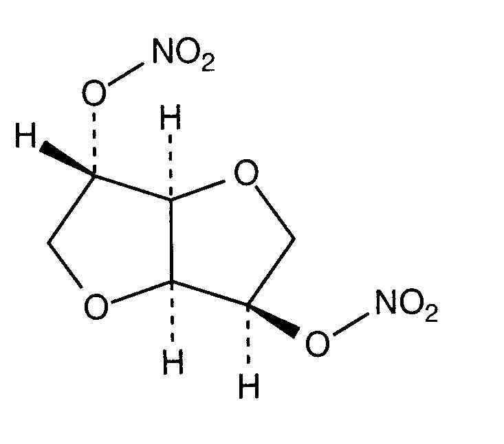
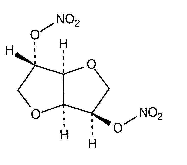
扩张血管药   Isosorbide dinitrate  
注射液
溶液稳定性 混合物稳定性 影响稳定性的因素 兼容性 用药途径 引用文献 PDF
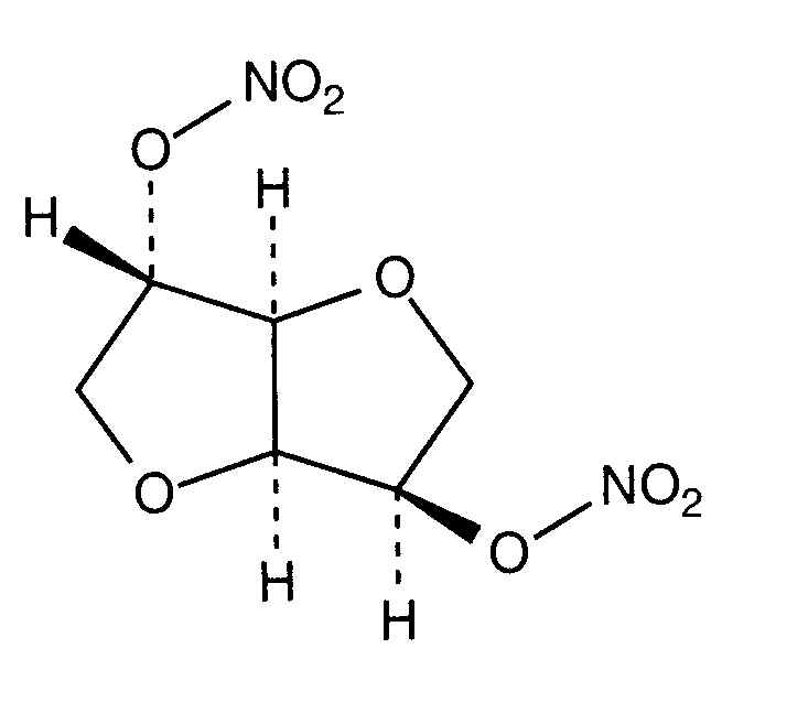
   化学式  

商品名   商品名     

商品名仅供参考, 药品所用的辅料可能依国家或厂商不同有所不同。

Angsobide 马来西亚
Cedocard 荷兰
Diniket 意大利
Dinit 英国
Ekilbran 墨西哥
Isoket 卢森堡, 埃及, 墨西哥, 奥地利, 委内瑞拉, 沙特阿拉伯, 波兰, 爱尔兰, 瑞士, 秘鲁, 英国, 葡萄牙, 阿联酋, 马来西亚
Isonit 厄瓜多尔, 秘鲁
Nitrosid 芬兰
Nitrosorbide 意大利
Risordan 法国
Zanisor 墨西哥
溶液稳定性   注射液   溶液稳定性 : Isosorbide dinitrate     
容器 溶剂 浓度 温度 保存 穩定持續時間 引用文献
玻璃 NaCl 0,9% 0,095 mg/ml 21°C 避光
24 小时
350

聚乙烯 NaCl 0,9% 0,02 mg/ml 22°C 避光
24 小时
1067
C级

聚乙烯 NaCl 0,9% 0,02 mg/ml 4°C 避光
24 小时
1067
C级

聚乙烯 NaCl 0,9% 0,095 mg/ml 21°C 避光
24 小时
350

聚乙烯 葡萄糖5% 0,02 mg/ml 22°C 避光
24 小时
1067
C级

聚乙烯 葡萄糖5% 0,02 mg/ml 4°C 避光
24 小时
1067
C级

注射器  聚丙烯 NaCl 0,9% 0,6 mg/ml 2-8°C 避光
28 白天
4374
C+级


  Mentions Légales