Останнє оновлення :
27/01/2026
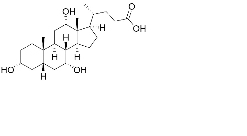
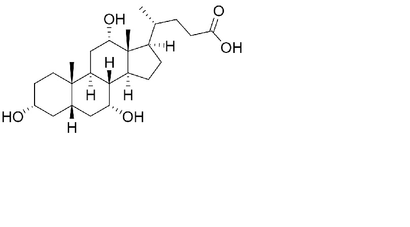
різноманітні   Cholic acid  
капсула
Стабільність фармацевтичних препаратів Стійкість сумішей Фактори, що впливають на стабільність Сумісність Список літератури pdf
   Хімічна структура  

капсула
Сумісність   капсула   Сумісність : Cholic acid              
7 / 5 000 Résultats de traduction Немає даних

  Mentions Légales