Τελευταία ενημέρωση :
27/01/2026
Λοιπά   Cholic acid  
Κάψουλα
Σταθερότητα και συμβατότητα των φαρμάκων Σταθερότητα σε μίγματα Παράγοντας που επηρεάζει τη σταθερότητα Συμβατότητες Βιβλιογραφία pdf
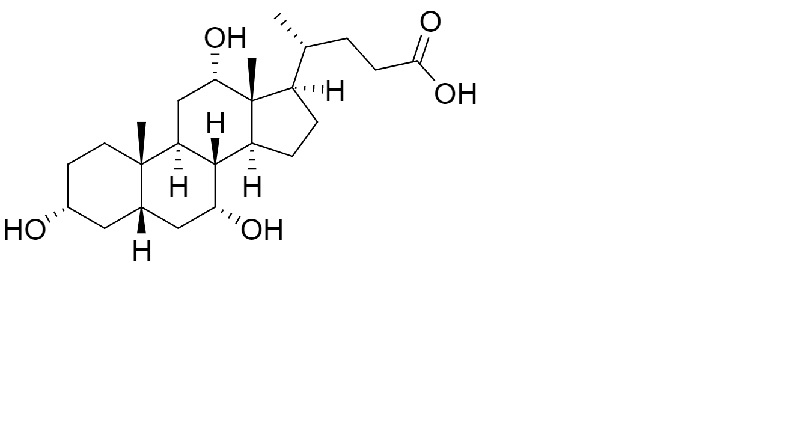
   χημική δομή  

Κάψουλα
Συμβατότητες    Κάψουλα   Συμβατότητες : Cholic acid              
Δεν υπάρχουν πληροφορίες

  Mentions Légales