最新更新 :
27/01/2026
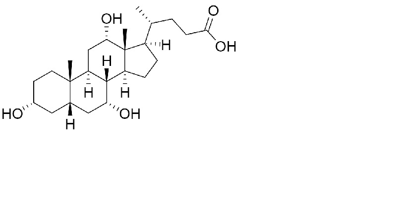
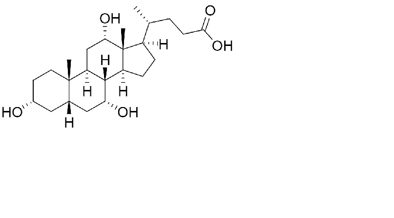
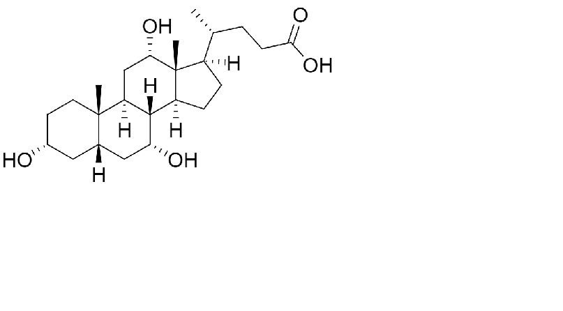
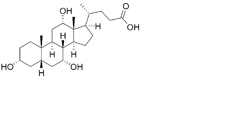
様々なもの   Cholic acid  
カプセル
調剤時の安定性 混合時の安定性 安定性に影響する因子 互換性 引用文献 PDF
   化学構造  

カプセル
互換性   カプセル   互換性 : Cholic acid              
データなし

  Mentions Légales