Poslední aktualizace :
27/01/2026
Infostab
Junginių sąrašas
Sąrašai
Ieškoti suderinamumo
Y formos suderinamumo lentelė
Bibliografija
Mokslinių tyrimų Komandos
valistab
plakatas
Jungtys
rėmėjai
Autorius
Naudojimo instrukcija
Biuletenį
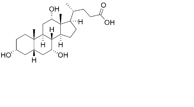
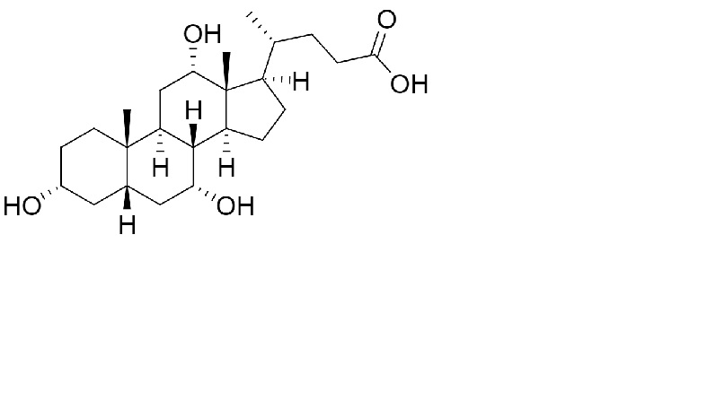
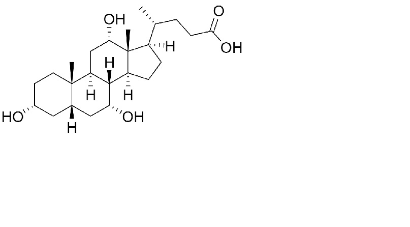
Cholic acid
Cheminė sandara
Suderinamumas : Cholic acid
Nėra duomenų
Mentions Légales