zadnja posodobitev :
27/01/2026
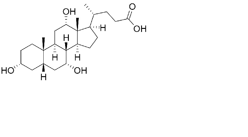
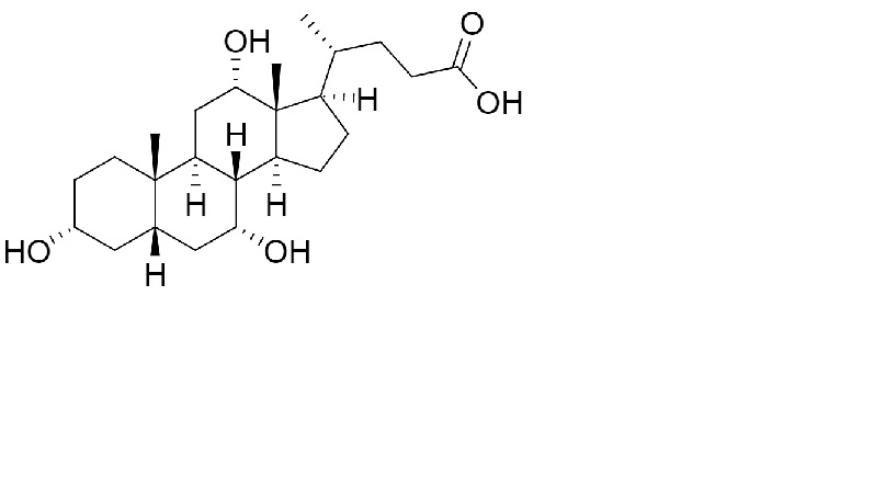
Različen   Cholic acid  
Kapsula
Stabilnost farmacevtskih preparatov Stabilnost mešanice Faktorji, ki vplivajo na stabilnost Kompatibilnost Viri pdf
   Kemična formula  

Kapsula
Kompatibilnost   Kapsula   Kompatibilnost : Cholic acid              
ni podatka

  Mentions Légales